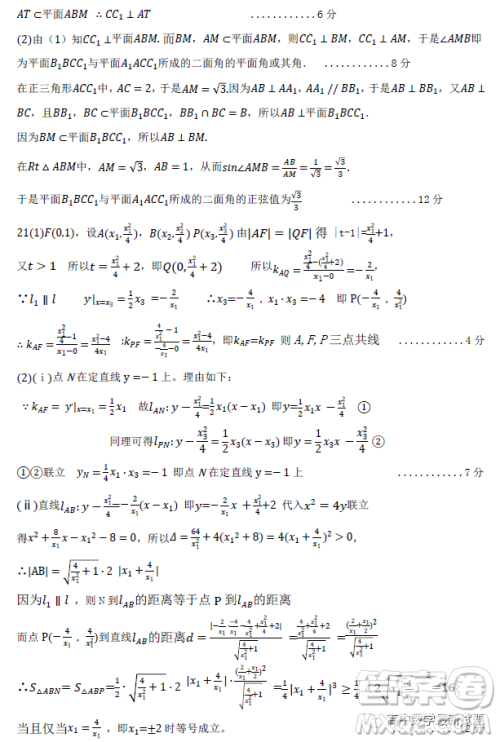
小编这次收集整理的是湖北省部分重点中学2023届高三第二次联考的高三数学试卷答案,这个是由武汉市十一中命题的,是湖北省重点中学的第二次联考,加强数学学习,巩固复习成果,有需要的学子可以来看看,检查下自己掌握了多少知识点吧!

答案如下,仅供参考!










2023年邵阳市高三第一次联考试题卷地理试卷答案
2023-01-11 17:50:21
小编这次收集整理的是2023年邵阳市高三第一次联考试题卷的地理试卷答案,这个系列的还有其他学科的,站内搜邵阳市就可以搜到,有英语、语文、政治等等多个学科,可以满足学生的练习
2023年邵阳市高三第一次联考试题卷政治试卷答案
2023-01-11 17:12:01
小编这次收集整理的是2023年邵阳市高三第一次联考试题卷的政治试卷答案,这个系列的还有其他学科的,站内搜邵阳市就可以了,这个是邵阳的高三联考试卷,还是非常不错的,很多学校都在
2023年邵阳市高三第一次联考试题卷生物试卷答案
2023-01-11 16:56:59
小编这次收集整理的是2023年邵阳市高三第一次联考试题卷的生物试卷答案,这个系列的还有其他学科的,站内直接搜邵阳市就可以了,副科一般试卷比较少一些,多练习还是很有必要的,做完
2023年邵阳市高三第一次联考试题卷化学试卷答案
2023-01-11 16:23:16
小编这次收集整理的是2023年邵阳市高三第一次联考试题卷的化学试卷答案,这个系列的还有其他学科的,站内直接搜邵阳就可以了,邵阳市的这次联考主要针对的是高三上学期的复习情况