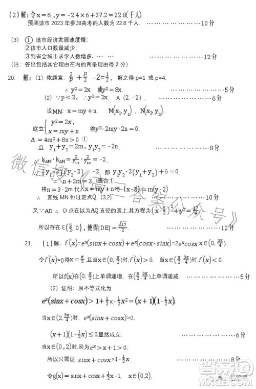
小编这次收集整理的是2023年宝鸡市高考模拟检测一的文科数学试卷答案,这个系列的还有理科数学、语文、英语等其他学科的,这个是宝鸡市的一模联考,感觉还是不错的,感兴趣的可以来看看,学习一下知识点,对于数学学科的复习还是要多做练习题!

答案如下,仅供参考!








九师联盟2023届新高考高三核心模拟卷三理科综合试卷答案
2022-12-26 09:49:01
小编这次收集整理的是九师联盟2023届新高考高三核心模拟卷中三的理科综合试卷答案,这个也是九师联盟系列的2022-2023学年度高三核心模拟试卷的第三套试卷了,这个是不一样的版
九师联盟2023届新高考高三核心模拟卷三文科综合试卷答案
2022-12-26 09:24:42
小编这次收集整理的是九师联盟2022-2023学年的新高考高三核心模拟卷三的文科综合试卷答案,其他学科的还有收集,站内搜九师联盟就可以找到了,根据版本的不同可以来试试,做一套模
箐师联盟2023届高三12月质量监测考试语文试卷答案
2022-12-24 16:02:47
小编这次收集整理的是箐师联盟2023届高三12月质量监测考试的语文试卷答案,这个系列的还有其他学科的整理,站内直接搜箐师联盟就可以了,这个是12月份的考试,在模拟的时候也要注意
2023届皖南八校高三第二次大联考英语试卷答案
2022-12-24 15:54:50
小编这次收集整理的是2023届皖南八校高三第二次大联考的英语试卷答案,这个系列的还有其他学科的,站内搜皖南八校就可以搜到,这个是12月份的考试,也有全套试卷,有需要的可以来看看