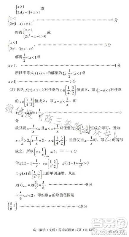
小编这次收集整理的是遂宁市的2023届高三零诊考试文科数学试卷的答案,另外,高三的复习时间优先,每分每秒都很宝贵,最好不要浪费,所以建议大家在复习时,不要盲目复习,紧跟老师节奏的基础上,针对自身实际情况,动态地制定实施自己的小计划,多刷题多训练。

答案如下,仅供参考!












遂宁市高中2023届高三零诊考试语文试卷答案
2022-11-16 17:08:46
小编这次收集整理的是遂宁市的高中2023届高三零诊考试语文试卷答案,针对这一阶段学生的学习复习情况的一次检验和总结,也是对后面的复习的一个预估和判断,其他地区的学生可以用
长春市2023届高三质量监测一政治试卷答案
2022-11-16 16:58:04
小编这次收集整理的是长春市2023届高三质量监测一政治试卷的答案,也是长春2023届高三一模考试,让及时了解自己的学习情况做好知识点的查漏补缺,需要核对参考的伙伴可以来答案圈
长春市2023届高三质量监测一历史试卷答案
2022-11-16 16:32:36
小编这次收集整理的是长春高三一模的历史试卷答案,也是长春市高三质量监测一系列试卷的参考答案,让学生能更好的总结自己的学习情况,做好及时的调整和巩固,做完了之后想要来核对
长春市2023届高三质量监测一语文试卷答案
2022-11-16 16:14:43
小编这次收集整理的是长春市2023届高三质量监测一系列的语文试卷答案,这个是长春2023届的一模考试,也很能检测学生的复习水平和复习效果,考试结束之后可以来查看核对一下,看看自