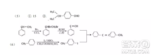
长春外国语学校2022-2023学年第一学期期中考试高三年级理综试卷答案已经整理好了,大家可以来看看哦!

答案如下:




































长春外国语学校2022-2023学年第一学期期中考试高三年级语文试卷答案
2022-11-12 10:20:20
长春外国语学校2022-2023学年第一学期期中考试高三年级语文试卷答案小编已经为大家收集整理好了,大家考完试可以来答案圈核对一下哦!长春外国语学校2022-2023学年第一学期期中
长春外国语学校2022-2023学年第一学期期中考试高三年级英语试卷答案
2022-11-12 10:07:29
长春外国语学校2022-2023学年第一学期期中考试高三年级英语试卷答案小编已经为大家收集好了,大家可以来答案圈查阅哦!长春外国语学校2022-2023学年第一学期期中考试高三年级英