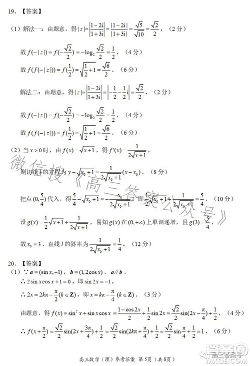
豫南九校2022-2023学年上期第二次联考高三理科数学试题及答案小编已经收集整理好了,高三的阶段性检测,针对学生的情况编写的月考卷,更好的反应学生的复习情况,为接下来的复习做好计划,练习完的伙伴可以来答案圈查看答案。

本次联考的其他科目答案圈也是有收集整理的,小伙伴们可以在答案圈高三年级搜索查看!












豫南九校2022-2023学年上期第二次联考高三语文试题及答案
2022-10-26 16:26:52
豫南九校2022-2023学年上期第二次联考高三语文试题及答案小编已经收集整理好了,高三的阶段性检测,针对学生的情况编写的月考卷,更好的反应学生的复习情况,为接下来的复习做好计
2023届金太阳九月联考1003C高三理科数学试题及答案
2022-09-09 11:57:00
2023届金太阳九月联考1003C高三理科数学试题及答案小编已经收集整理好了,适合多地区高三模拟考试,大家在核对答案时要注意试卷上的角标,这里小编收集的是1003C的试卷和答案。练
2023届九师联盟9月联考老高考高三理科数学试题及答案
2022-09-08 10:21:25
2023届九师联盟9月联考老高考高三理科数学试题及答案小编已经收集整理好了,这里整理的是九师联盟出品的针对老高考地区的开学考试,下角标是LG,大家可以结合自己的情况来参考本
广西2022年9月联盟校入学统一检测卷高三理科数学试题及答案
2022-09-06 11:18:44
广西2022年9月联盟校入学统一检测卷高三理科数学试题及答案小编已经收集整理好了,一般的解题入手方法不外乎为顺着题意来,或者以寻求的结果为出发点逆向推导,只有学会从题目本