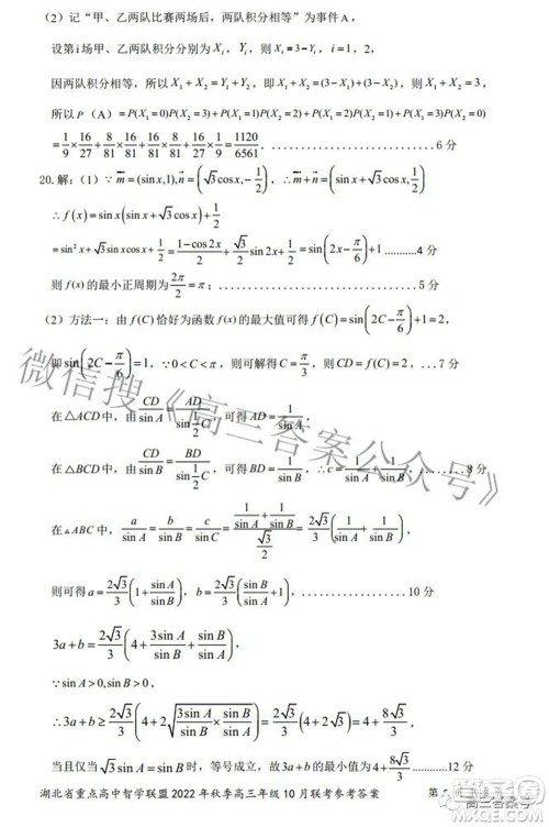
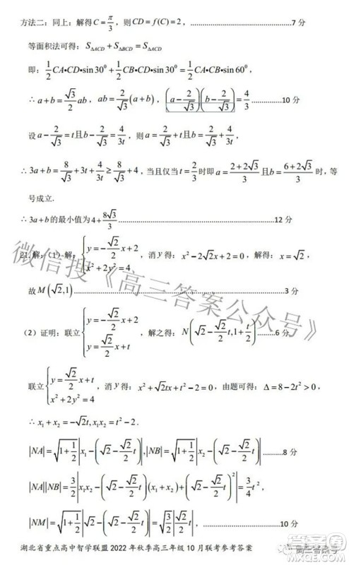
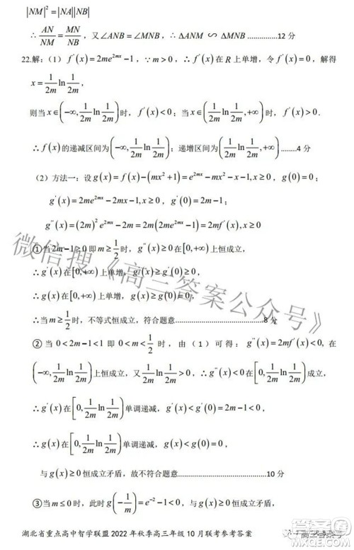
湖北省重点高中智学联盟2022年秋季高三年级10月联考数学试题及答案小编已经收集整理好了,做题一定要分类梯度大量集中,分类就是分类型做题,先把高考容易拿分的先掌握。打牢基础在考虑提高,一步步稳固前行,练习完的伙伴可以来答案圈查看答案

本次联考的其他科目答案圈也是有收集整理的,小伙伴们可以在答案圈高三年级搜索查看!












湖北省重点高中智学联盟2022年秋季高三年级10月联考语文试题及答案
2022-10-13 11:26:07
湖北省重点高中智学联盟2022年秋季高三年级10月联考语文试题及答案小编已经收集整理好了,做题一定要分类梯度大量集中,分类就是分类型做题,先把高考容易拿分的先掌握。打牢基础
2022年山东省学情空间区域教研共同体高一10月份联考数学试题及答案
2022-10-12 14:43:11
2022年山东省学情空间区域教研共同体高一10月份联考数学试题及答案小编已经收集整理好了,山东地区针对高一新学期的伙伴的阶段性检测,做好学习的查漏补缺,需要核对答案的伙伴可
湖北省重点高中智学联盟2022年秋季高三年级10月联考生物试题及答案
2022-10-12 14:04:48
湖北省重点高中智学联盟2022年秋季高三年级10月联考生物试题及答案小编已经收集整理好了,湖北地区多所名校联考,针对每个阶段的复习进行测试,让学生能很好的了解自己的复习情况
湖北省重点高中智学联盟2022年秋季高三年级10月联考政治试题及答案
2022-10-12 13:51:32
湖北省重点高中智学联盟2022年秋季高三年级10月联考政治试题及答案小编已经收集整理好了,湖北地区多所名校联考,针对每个阶段的复习进行测试,让学生能很好的了解自己的复习情况