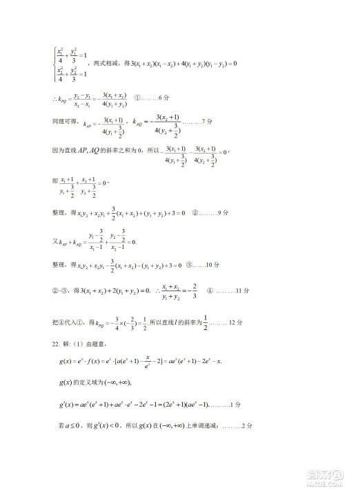
辽宁2022-2023学年度上六校高三期初考试数学试题及答案小编已经收集整理好了,在高考中,试题按照难度的比例划分是7:2:1,可以看出基础题占据了7成的比例,所以大家不要再一味地大量做难题偏题,即便你花费了大量时间攻克了难题,都没有基础题的分数高,还不如把时间多用在落实基础上,先打牢根基,再考虑难题的提升。感兴趣的伙伴可以来答案圈看看!

本次联考的其他科目答案圈也是有收集整理的,小伙伴们可以在答案圈高三年级搜索查看!














辽宁2022-2023学年度上六校高三期初考试生物试题及答案
2022-09-16 10:19:48
辽宁2022-2023学年度上六校高三期初考试生物试题及答案小编已经收集整理好了,辽宁地区多所高中联合考试,高三复习前的一次检验,让学生能更好的了解自己学习情况的同时,也为接下
辽宁2022-2023学年度上六校高三期初考试历史试题及答案
2022-09-16 10:08:25
辽宁2022-2023学年度上六校高三期初考试历史试题及答案小编已经收集整理好了,辽宁地区多所高中联合考试,高三复习前的一次检验,让学生能更好的了解自己学习情况的同时,也为接下
辽宁2022-2023学年度上六校高三期初考试地理试题及答案
2022-09-16 09:54:29
辽宁2022-2023学年度上六校高三期初考试地理试题及答案小编已经收集整理好了,辽宁地区多所高中联合考试,高三复习前的一次检验,让学生能更好的了解自己学习情况的同时,也为接下
辽宁2022-2023学年度上六校高三期初考试语文试题及答案
2022-09-16 09:34:23
辽宁2022-2023学年度上六校高三期初考试语文试题及答案小编已经收集整理好了,辽宁地区多所高中联合考试,针对新高三伙伴的一次摸底,看看大家对整个高中知识的掌握情况,感兴趣的