长沙市一中2023届高三月考试卷一物理试题及答案小编已经收集整理好了,回归最基础的办法就是把教科书的知识弄通透,归纳出课本的重、难点,并清楚知道自己的薄弱环节,有针对性地进行攻破。感兴趣的伙伴可以来答案圈看看!

本次联考的其他科目答案圈也是有收集整理的,小伙伴们可以在答案圈高三年级搜索查看!

















长沙市一中2023届高三月考试卷一数学试题及答案
2022-09-14 16:02:53
长沙市一中2023届高三月考试卷一数学试题及答案小编已经收集整理好了,在学生进入高三时,首先大家要调整好心态,无论之前的成绩是好还是坏,能够意识到自己是想要进步的什么时间都
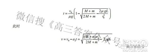
南京市2023届高三年级学情调研物理试题及答案
2022-09-14 15:16:55
南京市2023届高三年级学情调研物理试题及答案小编已经收集整理好了,对于学霸而言,可以明确地分清自己应该做什么。在校期间就是学习的时间,绝不做任何与学习无关的事情,只有专注
河北省省级联测2022-2023学年高三上学期第一次月考物理试题及答案
2022-09-14 11:44:52
河北省省级联测2022-2023学年高三上学期第一次月考物理试题及答案小编已经收集整理好了,在学习中,很多学生喜欢根据自己的好恶有选择性地进行学习,比如不喜欢这个老师或者不喜
2023届惠阳中山龙门中学惠舟仲恺中学三校高三第一次质量检测试卷物理试题及答案
2022-09-13 09:54:06
2023届惠阳中山龙门中学惠舟仲恺中学三校高三第一次质量检测试卷物理试题及答案小编已经收集整理好了,惠州地区三所名校联合考试,针对高三年级的伙伴这一阶段的复习做出检验,看