2022年西南汇联考2023届高三第一学期开学考文科数学试题及答案小编已经收集整理好了,地区性的多所学校联合考试,能更好的反应出学生存在的学习问题,为高三的复习备考做好准备,练习完的伙伴可以来答案圈核对答案!

本次联考的其他科目的答案小编也有收集整理,需要的伙伴可以来答案圈高三年级搜索查看!











2022年西南汇联考2023届高三第一学期开学考语文试题及答案
2022-09-11 08:34:00
2022年西南汇联考2023届高三第一学期开学考语文试题及答案小编已经收集整理好了,地区性的多所学校联合考试,能更好的反应出学生存在的学习问题,为高三的复习备考做好准备,练习完
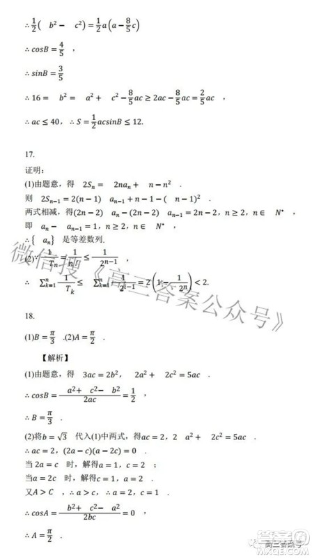
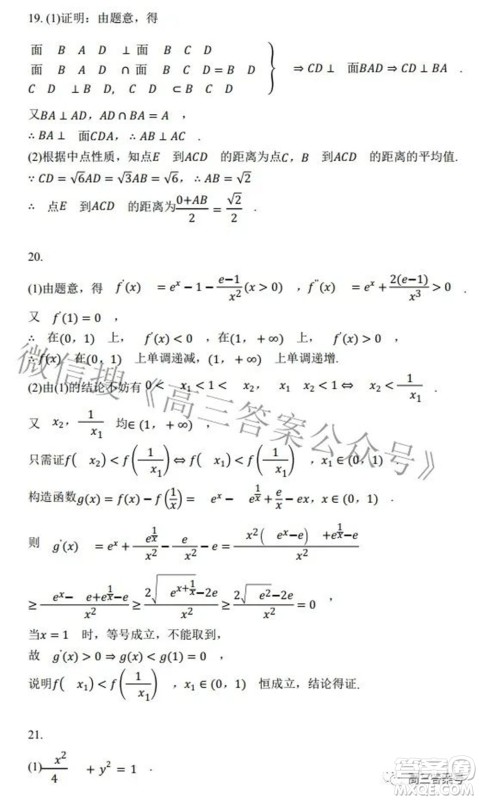
2022年西南汇联考2023届高三第一学期开学考理科数学试题及答案
2022-09-11 08:34:00
2022年西南汇联考2023届高三第一学期开学考理科数学试题及答案小编已经收集整理好了,地区性的多所学校联合考试,能更好的反应出学生存在的学习问题,为高三的复习备考做好准备,练
2023届金太阳九月联考1003C高三文科数学试题及答案
2022-09-09 11:43:21
2023届金太阳九月联考1003C高三文科数学试题及答案小编已经收集整理好了,适合多地区高三模拟考试,大家在核对答案时要注意试卷上的角标,这里小编收集的是1003C的试卷和答案。练
江西省2023届新高三入学摸底考试文科数学试题及答案
2022-09-08 14:56:10
江西省2023届新高三入学摸底考试文科数学试题及答案小编已经收集整理好了,高三一轮复习时,注重的是基础,重点知识点要无一遗漏,到了第三轮复习时,该做的题都已经做过了,就不要做太