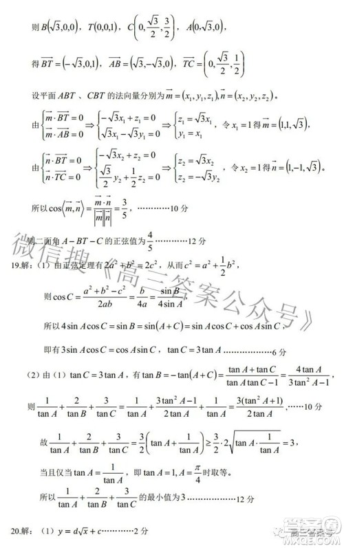
湖北省2023届高三9月起点考试数学试题及答案小编已经收集整理好了,历届高三师生花在第一轮复习上的时间是最长的,复习到的知识点也是最细的。因为大部分高考题旨在考查学生掌握的基础知识和基本技能,所以对于绝大多数高三生,尤其是对于那些基础知识掌握的较差的学生,第一轮复习的结果直接关系到高考分数的高低。练习完的伙伴可以来答案圈查看答案。

本次联考的其他科目答案圈也是有收集整理的,小伙伴们可以在答案圈高三年级搜索查看!










湖北省2023届高三9月起点考试语文试题及答案
2022-09-08 09:42:05
湖北省2023届高三9月起点考试语文试题及答案小编已经收集整理好了,历届高三师生花在第一轮复习上的时间是最长的,复习到的知识点也是最细的。因为大部分高考题旨在考查学生掌
2023届普通高等学校招生全国统一考试青桐鸣9月联考文科数学试题及答案
2022-09-08 09:07:49
2023届普通高等学校招生全国统一考试青桐鸣9月联考文科数学试题及答案小编已经收集整理好了,高三学生要养成良好的答题习惯。很多学生答题习惯不好,考试的时候不是抄错数字,就
2023届普通高等学校招生全国统一考试青桐鸣9月联考理科数学试题及答案
2022-09-08 08:58:23
2023届普通高等学校招生全国统一考试青桐鸣9月联考理科数学试题及答案小编已经收集整理好了,在做题的过程中,高三学生要做好限时训练,提高自己高质量做题的能力。高考时间是固
福建省漳州市2023届高中毕业班第一次教学质量检测数学试题及答案
2022-09-07 15:15:59
福建省漳州市2023届高中毕业班第一次教学质量检测数学试题及答案小编已经收集整理好了,高三学生要以基础题目入手,提高自己的分析能力,掌握基础的解题思路。错题本上的重点题,要