首页小学初中高中专题
当前位置:首页 > 高中答案网 > 高中三年级答案

2023届浙江省A9协作体暑假返校联考高三数学答案

时间:2022-08-25 11:00:24    作者:答案圈
标签:
2023高三模拟考试答案

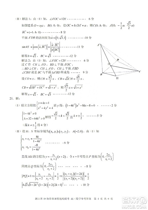
2023届浙江省A9协作体暑假返校联考高三数学答案小编已经收集整理好了,浙江地区新高三返校练习,及时检验学生在假期的收获,在让学生收心的同时也是了解大家的学习情况,为高三复习做好计划,需要答案的伙伴可以来答案圈核对。KRR答案圈

2023届浙江省A9协作体暑假返校联考高三数学答案KRR答案圈

2023届浙江省A9协作体暑假返校联考高三数学答案

本次联考的其他科目小编也有整理,感兴趣的伙伴可以来答案对应的年级搜索查看!KRR答案圈

2023届浙江省A9协作体暑假返校联考高三数学答案KRR答案圈

2023届浙江省A9协作体暑假返校联考高三数学答案KRR答案圈

2023届浙江省A9协作体暑假返校联考高三数学答案KRR答案圈

2023届浙江省A9协作体暑假返校联考高三数学答案KRR答案圈

2023届浙江省A9协作体暑假返校联考高三数学答案KRR答案圈

2023届浙江省A9协作体暑假返校联考高三数学答案KRR答案圈

查看更多答案
相关文章
2021年河北辽宁新高考金太阳联考4008C高三数学答案 2021-04-10 09:36:21

2021年河北辽宁新高考金太阳联考4008C高三数学答案小编已经整理好了,感兴趣的伙伴来答案圈核对一下2021年河北辽宁新高考金太阳联考4008C高三数学答案本次联考的其他科目的答

专题推荐

2022小学长江作业本上册系列答案

2022阳光学业评价上册系列答案

2022资源与评价上册系列答案

2022初中全品学练考上册系列答案

2022阳光同学课时优化作业上册系列答案

相关专题
课后作业答案
数学
语文
英语
历史
地理
政治
物理
化学
生物
其他
网友留言
最新更新
金太阳10月联考2022-2023年度高三年级阶段性考试地理试题及答案
金太阳联考答案 高三联考答案
金太阳10月联考2022-2023年度高三年级阶段性考试物理试题及答案
金太阳联考答案 高三联考答案
金太阳10月联考2022-2023年度高三年级阶段性考试生物试卷答案
金太阳联考答案 高三联考答案
金太阳10月联考2022-2023年度高三年级阶段性检测五语文试题及答案
2023高三模拟考试答案 金太阳联考答案