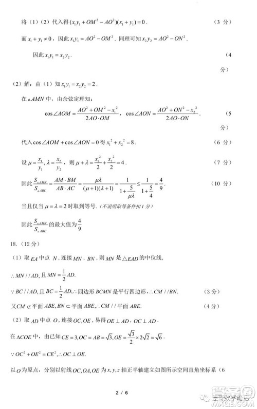
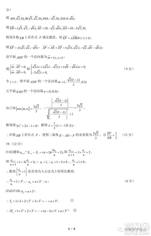
2023届湖北二十一所重点中学高三第一次联考数学试题及答案小编已经收集整理好了,大家在考完可以来核对答案对自己的发挥做出一个更好评估。

本次考试系列的其他科目小编也有整理收集,需要核对答案的伙伴可以来答案圈对应年级搜索查看












江西省2023届新高三第一次摸底考试文科数学试题及答案
2022-07-27 08:42:58
江西省2023届新高三第一次摸底考试文科数学试题及答案小编已经收集整理好了,大家在考完可以来核对答案对自己的发挥做出一个更好评估。江西省2023届新高三第一次摸底考试文科
江西省2023届新高三第一次摸底考试理科数学试题及答案
2022-07-27 08:29:29
江西省2023届新高三第一次摸底考试理科数学试题及答案小编已经收集整理好了,大家在考完可以来核对答案对自己的发挥做出一个更好评估。江西省2023届新高三第一次摸底考试理科
河南省安阳市2022-2023学年高三年级TOP二十名校调研摸底考试高三文科数学试题及答案
2022-07-12 16:27:31
河南省安阳市2022-2023学年高三年级TOP二十名校调研摸底考试高三文科数学试题及答案小编已经收集整理好了,大家在考完可以来核对答案对自己的发挥做出一个更好评估。河南省安
河南省安阳市2022-2023学年高三年级TOP二十名校调研摸底考试高三理科数学试题及答案
2022-07-12 16:10:32
河南省安阳市2022-2023学年高三年级TOP二十名校调研摸底考试高三理科数学试题及答案小编已经收集整理好了,大家在考完可以来核对答案对自己的发挥做出一个更好评估。河南省安