柳州市2023届新高三摸底考试文科数学试题及答案小编已经收集整理好了,针对新高三伙伴检验自己对高中知识的掌握情况,为接下来的复习备考做好铺垫,考完的伙伴可以来核对一下答案!

本次考试的其他科目小编也有整理收集,需要核对答案的伙伴可以来答案圈对应的年级搜索查看!

















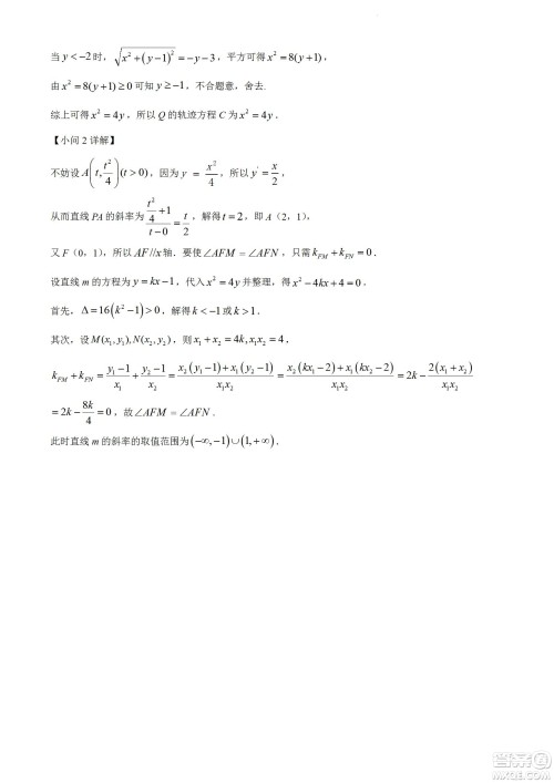
柳州市2023届新高三摸底考试理科数学试题及答案
2022-07-12 09:26:42
柳州市2023届新高三摸底考试理科数学试题及答案小编已经收集整理好了,针对新高三伙伴检验自己对高中知识的掌握情况,为接下来的复习备考做好铺垫,考完的伙伴可以来核对一下答案
柳州市2023届新高三摸底考试历史试题及答案
2022-07-12 09:17:22
柳州市2023届新高三摸底考试历史试题及答案小编已经收集整理好了,针对新高三伙伴检验自己对高中知识的掌握情况,为接下来的复习备考做好铺垫,考完的伙伴可以来核对一下答案!柳州
柳州市2023届新高三摸底考试生物试题及答案
2022-07-12 08:52:28
柳州市2023届新高三摸底考试生物试题及答案小编已经收集整理好了,针对新高三伙伴检验自己对高中知识的掌握情况,为接下来的复习备考做好铺垫,考完的伙伴可以来核对一下答案!柳州
柳州市2023届新高三摸底考试物理试题及答案
2022-07-12 08:38:39
柳州市2023届新高三摸底考试物理试题及答案小编已经收集整理好了,针对新高三伙伴检验自己对高中知识的掌握情况,为接下来的复习备考做好铺垫,考完的伙伴可以来核对一下答案!柳州