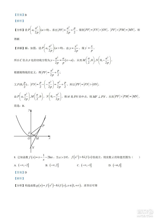
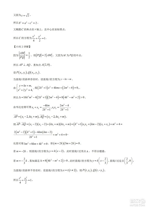
2023届湖北省九师联盟高三新高考摸底联考数学试题及答案小编已经收集整理好了,新高三的伙伴们也将进入到高考备考复习中了,考完的伙伴可以来答案圈核对一下答案!

本次联考的其他年级和科目的答案小编也有收集整理,感兴趣的伙伴可以在答案圈对应的年级搜索查看!





















2023届湖北省九师联盟高三新高考摸底联考生物试题及答案
2022-06-30 14:55:00
2023届湖北省九师联盟高三新高考摸底联考生物试题及答案小编已经收集整理好了,新高三的伙伴们也将进入到高考备考复习中了,考完的伙伴可以来答案圈核对一下答案!2023届湖北省九
2023届湖北省九师联盟高三新高考摸底联考历史试题及答案
2022-06-30 14:43:01
2023届湖北省九师联盟高三新高考摸底联考历史试题及答案小编已经收集整理好了,新高三的伙伴们也将进入到高考备考复习中了,考完的伙伴可以来答案圈核对一下答案!2023届湖北省九
2023届湖北省九师联盟高三新高考摸底联考化学试题及答案
2022-06-30 14:30:01
2023届湖北省九师联盟高三新高考摸底联考化学试题及答案小编已经收集整理好了,新高三的伙伴们也将进入到高考备考复习中了,考完的伙伴可以来答案圈核对一下答案!2023届湖北省九
2023届湖北省九师联盟高三新高考摸底联考地理试题及答案
2022-06-30 14:13:58
2023届湖北省九师联盟高三新高考摸底联考地理试题及答案小编已经收集整理好了,新高三的伙伴们也将进入到高考备考复习中了,考完的伙伴可以来答案圈核对一下答案!2023届湖北省九