2022银川一中第三次模拟考试理科数学试卷及答案小编已经收集整理好了,让大家能更好的检验自己学习中的不足,在接下来的复习中重点去巩固提高,需要的伙伴可以来答案圈核对答案!

本次考试的其他科目的答案小编也有收集整理,大家可以根据自己使用的练习册在答案圈对应的年级搜索查看!










2022银川一中第三次模拟考试语文试卷及答案
2022-05-23 15:42:25
2022银川一中第三次模拟考试语文试卷及答案小编已经收集整理好了,让大家能更好的检验自己学习中的不足,在接下来的复习中重点去巩固提高,需要的伙伴可以来答案圈核对答案!2022银
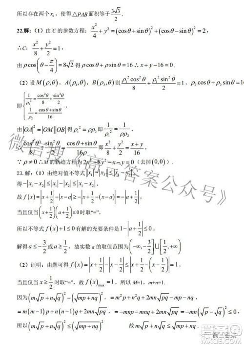
太原市2022年高三年级模拟考试三理科数学试卷及答案
2022-05-21 09:02:47
太原市2022年高三年级模拟考试三理科数学试卷及答案小编已经收集整理好了,让大家能更好的检验自己学习中的不足,在接下来的复习中重点去巩固提高,需要的伙伴可以来答案圈核对答
2022年哈三中第四次高考模拟考试理科数学试卷及答案
2022-05-18 19:01:00
2022年哈三中第四次高考模拟考试理科数学试卷及答案已经为大家收集整理好了,需要答案的同学,可以到答案圈查阅一下哦!2022年哈三中第四次高考模拟考试理科数学试卷及答案答案如
太原市2022年高三年级模拟考试二文科数学试卷及答案
2022-04-30 10:33:26
太原市2022年高三年级模拟考试二文科数学试卷及答案小编已经收集整理好了,及时检验这段时间学生们的复习情况,做好及时的巩固提高,大家可以在考完后来答案圈核对答案!太原市2022