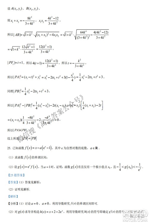
2022年5月湘豫名校联考高三文科数学试题及答案小编已经收集整理好了,及时检验这段时间学生们的复习情况,做好及时的巩固提高,大家可以在考完后来答案圈核对答案!

本次考试的其他科目小编也有收集整理,大家可以在答案圈对应的年级搜索查看!




























2022年5月湘豫名校联考高三语文试题及答案
2022-05-09 14:29:24
2022年5月湘豫名校联考高三语文试题及答案小编已经收集整理好了,及时检验这段时间学生们的复习情况,做好及时的巩固提高,大家可以在考完后来答案圈核对答案!2022年5月湘豫名校联
2021-2022学年全国重点高中模拟考试高三文科数学试题及答案
2022-05-05 15:12:44
2021-2022学年全国重点高中模拟考试高三文科数学试题及答案小编已经收集整理好了,及时检验这段时间学生们的复习情况,做好及时的巩固提高,大家可以在考完后来答案圈核对答案!202
安徽省鼎尖联盟2022届4月联考高三文科数学试题及答案
2022-04-16 10:41:16
安徽省鼎尖联盟2022届4月联考高三文科数学试题及答案小编已经收集整理好了,让大家能更好的检验自己学习中的不足,在接下来的复习中重点去巩固提高,需要的伙伴可以来答案圈核对
榆林市2021-2022年度第三次模拟考试高三文科数学试题及答案
2022-04-12 13:42:01
榆林市2021-2022年度第三次模拟考试高三文科数学试题及答案小编已经收集整理好了,针对这一学期学习成果的检验,让学生能更好的定位自己的学习情况,为接下来的学习做好准备,需要