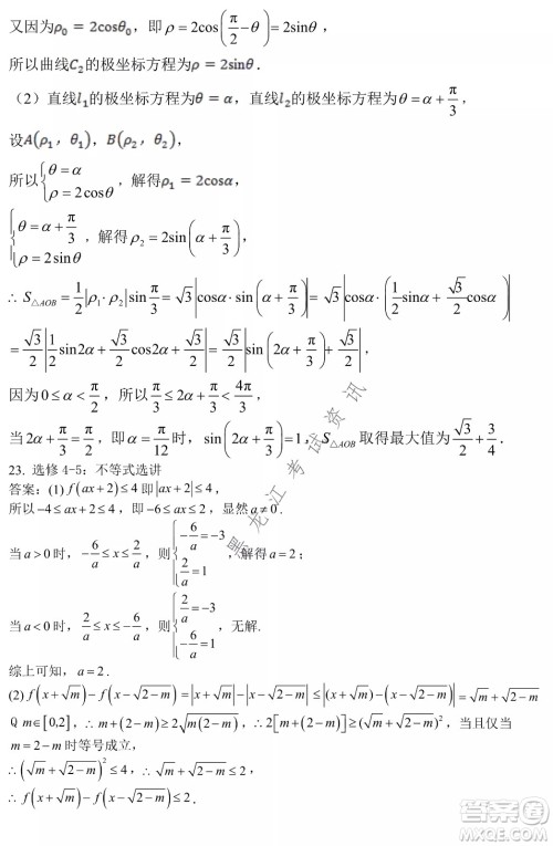
2022银川一中第二次模拟考试理科数学试卷及答案已经为大家收集整理好了,这套试卷对该学期学生的学习成果进行了检验,为下一课堂准备学的新知识点做了良好的铺垫,需要核对答案的同学,可以到答案圈查阅哦!

答案如下:









2022银川一中第二次模拟考试英语试卷及答案
2022-04-27 16:41:49
2022银川一中第二次模拟考试英语试卷及答案已经为广大学生整理好了,这套试卷可以帮助大家找到自己容易做错的题型,课余时间多加以练习,对大家会有帮助的哦!2022银川一中第二次模
2022银川一中第二次模拟考试语文试卷及答案
2022-04-25 08:40:30
2022银川一中第二次模拟考试语文试卷及答案小编已经收集整理好了,让大家能更好的检验自己学习中的不足,在接下来的复习中重点去巩固提高,需要的伙伴可以来答案圈核对答案!2022银
洛阳市2021-2022学年第二学期期中考试高二理科数学试卷及答案
2022-04-18 18:46:11
洛阳市2021-2022学年第二学期期中考试高二理科数学试卷及答案小编已经为大家收集好了,有兴趣的同学,可以来看看哦!洛阳市2021-2022学年第二学期期中考试高二理科数学试卷及答案
昆明一中、银川一中高三联合考试一模理科数学试卷及答案
2022-03-16 14:01:34
昆明一中、银川一中高三联合考试一模理科数学试卷及答案小编已经为大家收集整理好了,喜欢数学的同学,可以到答案圈查阅参考哦!昆明一中、银川一中高三联合考试一模理科数学试卷