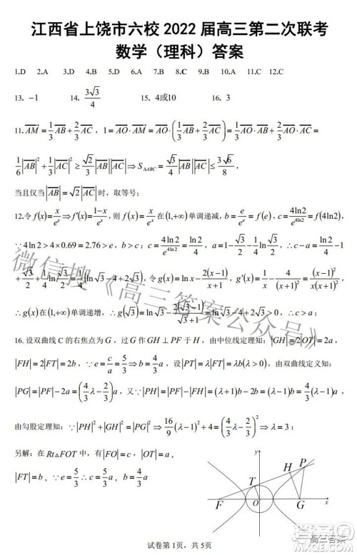
江西省上饶市六校2022高三第二次联考理科数学试题及答案小编已经收集整理好了,让大家能更好的检验自己学习中的不足,在接下来的复习中重点去巩固提高,需要的伙伴可以来答案圈核对答案!

本次考试的其他科目的答案小编也有收集整理,大家可以根据自己使用的练习册在答案圈对应的年级搜索查看!









江西省上饶市六校2022高三第二次联考语文试题及答案
2022-04-15 09:47:33
江西省上饶市六校2022高三第二次联考语文试题及答案小编已经收集整理好了,让大家能更好的检验自己学习中的不足,在接下来的复习中重点去巩固提高,需要的伙伴可以来答案圈核对答
2022年甘肃省第二次高考诊断考试理科数学试题及答案
2022-04-15 08:43:06
2022年甘肃省第二次高考诊断考试理科数学试题及答案小编已经收集整理好了,让大家能更好的检验自己学习中的不足,在接下来的复习中重点去巩固提高,需要的伙伴可以来答案圈核对答
2022年普通高等学校招生全国统一考试冲刺押题卷三理科数学试题及答案
2022-04-13 08:27:03
2022年普通高等学校招生全国统一考试冲刺押题卷三理科数学试题及答案小编已经收集整理好了,针对这一学期学习成果的检验,让学生能更好的定位自己的学习情况,为接下来的学习做好
宜春市2022年高三模拟考试理科数学试题及答案
2022-04-12 17:12:45
宜春市2022年高三模拟考试理科数学试题及答案小编已经收集整理好了,针对这一学期学习成果的检验,让学生能更好的定位自己的学习情况,为接下来的学习做好准备,需要核对答案的伙伴