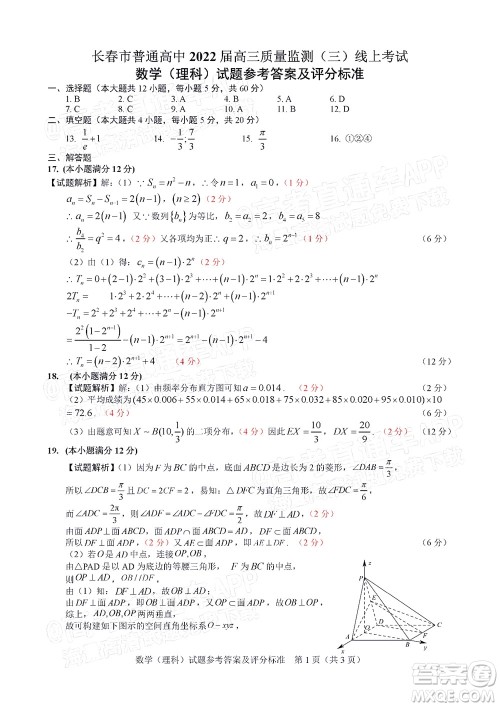
长春市2022届高三质量监测三线上考试理科数学试题及答案小编已经收集整理好了,让大家能更好的检验自己学习中的不足,在接下来的复习中重点去巩固提高,需要的伙伴可以来答案圈核对答案!

本次考试的其他科目的答案小编也有收集整理,大家可以根据自己使用的练习册在答案圈对应的年级搜索查看!






长春市2022届高三质量监测三线上考试文科数学试题及答案
2022-04-08 16:41:38
长春市2022届高三质量监测三线上考试文科数学试题及答案小编已经收集整理好了,让大家能更好的检验自己学习中的不足,在接下来的复习中重点去巩固提高,需要的伙伴可以来答案圈核
2021-2022学年山西省高三4月份调研理科数学试题及答案
2022-04-08 16:17:11
2021-2022学年山西省高三4月份调研理科数学试题及答案小编已经收集整理好了,让大家能更好的检验自己学习中的不足,在接下来的复习中重点去巩固提高,需要的伙伴可以来答案圈核对
2022届东北三省三校高三第二次联合模拟考试理科数学试题及答案
2022-04-08 09:47:51
2022届东北三省三校高三第二次联合模拟考试理科数学试题及答案已经为大家收集整理好了,有需要的小伙伴,可以到答案圈查阅一下哦!2022届东北三省三校高三第二次联合模拟考试理科
江西省八所重点中学2022届高三联考理科数学试题及答案
2022-04-05 11:22:16
江西省八所重点中学2022届高三联考理科数学试题及答案小编已经收集整理好了,让大家能更好的检验自己学习中的不足,在接下来的复习中重点去巩固提高,需要的伙伴可以来答案圈核对