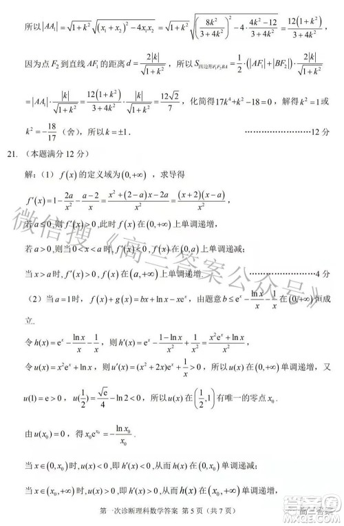
2022年甘肃省第一次高考诊断考试理科数学试题及答案小编已经收集整理好了,随着一轮复习的结束,小伙伴们进入了更加精细的专项复习,这时候的查漏补缺是非常重要的,需要核对答案的伙伴可以来答案圈看!

本次考试的其他科目的答案小编也有收集整理,需要核对的伙伴可以在答案圈对应的年级搜索查看!











2022年甘肃省第一次高考诊断考试文科数学试题及答案
2022-03-17 09:05:32
2022年甘肃省第一次高考诊断考试文科数学试题及答案小编已经收集整理好了,针对这一学期学习成果的检验,让学生能更好的定位自己的学习情况,为接下来的学习做好准备,需要核对答案
2022年甘肃省第一次高考诊断考试语文试题及答案
2022-03-16 16:24:54
2022年甘肃省第一次高考诊断考试语文试题及答案小编已经收集整理好了,针对这一学期学习成果的检验,让学生能更好的定位自己的学习情况,为接下来的学习做好准备,需要核对答案的伙
广西2022届高中毕业班第一次适应性测试理科数学试题及答案
2022-03-16 15:43:57
广西2022届高中毕业班第一次适应性测试理科数学试题及答案小编已经收集整理好了,针对这一学期学习成果的检验,让学生能更好的定位自己的学习情况,为接下来的学习做好准备,需要核
榆林市2021-2022年度高三第二次模拟考试理科数学试题及答案
2022-03-15 17:15:23
榆林市2021-2022年度高三第二次模拟考试理科数学试题及答案小编已经收集整理好了,针对这一学期学习成果的检验,让学生能更好的定位自己的学习情况,为接下来的学习做好准备,需要