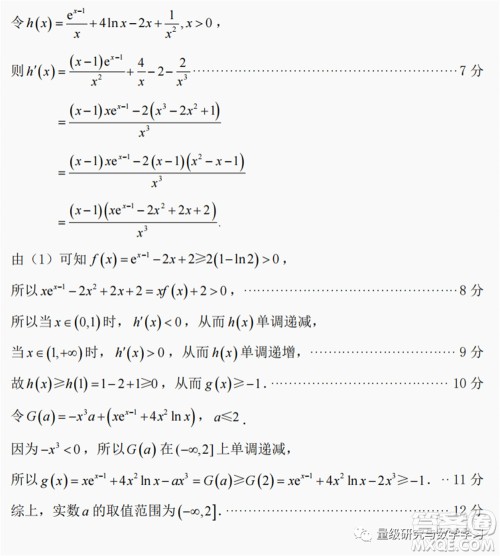
莆田市2022届高中毕业班第二次教学质量检测试卷数学试题及答案小编已经收集整理好了,针对这一学期学习成果的检验,让学生能更好的定位自己的学习情况,为接下来的学习做好准备,需要核对答案的伙伴可以来答案圈看!

本次考试的其他科目的答案小编也有收集整理,需要核对的伙伴可以在答案圈对应的年级搜索查看!
















2022届普通高校招生考试仿真模拟卷二数学试题及答案
2022-03-04 08:37:12
2022届普通高校招生考试仿真模拟卷二数学试题及答案小编已经收集整理好了,针对这一学期学习成果的检验,让学生能更好的定位自己的学习情况,为接下来的学习做好准备,需要核对答案
江西省重点中学盟校2022届高三第一次联考文科数学试题及答案
2022-03-04 08:33:13
江西省重点中学盟校2022届高三第一次联考文科数学试题及答案小编已经收集整理好了,针对这一学期学习成果的检验,让学生能更好的定位自己的学习情况,为接下来的学习做好准备,需要
江西省重点中学盟校2022届高三第一次联考理科数学试题及答案
2022-03-04 08:21:11
江西省重点中学盟校2022届高三第一次联考理科数学试题及答案小编已经收集整理好了,针对这一学期学习成果的检验,让学生能更好的定位自己的学习情况,为接下来的学习做好准备,需要
辽宁省名校联盟2022届高三3月份联合考试数学试题及答案
2022-03-03 19:15:30
辽宁省名校联盟2022届高三3月份联合考试数学试题及答案小编已经收集整理好了,哈尔滨师大附中、东北师大附中、辽宁省实验中学2022年高三第一次联合模拟考试答案,需要核对答案