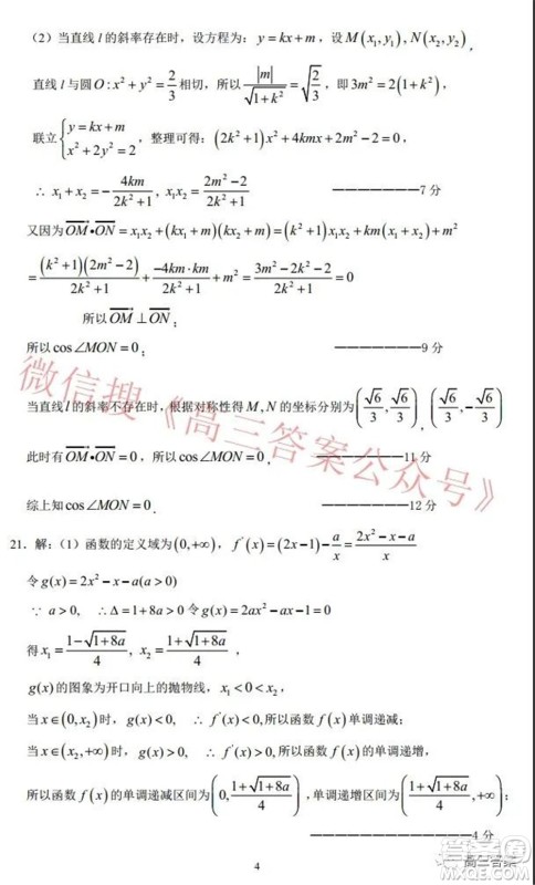
江西省上饶市六校2022届高三第一次联考理科数学试题及答案小编已经收集整理好了,结合地区复习情况针对的检验学生对所复习内容的掌握情况,为接下来的复习做好规划,需要核对答案的伙伴可以来答案圈看!

本次联考的其他科目的试卷及答案小编也有收集整理,需要的伙伴可以在答案圈对应的年级搜索查看!












江西省上饶市六校2022届高三第一次联考文科数学试题及答案
2022-02-14 10:58:15
江西省上饶市六校2022届高三第一次联考文科数学试题及答案小编已经收集整理好了,结合地区复习情况针对的检验学生对所复习内容的掌握情况,为接下来的复习做好规划,需要核对答案
江西省上饶市六校2022届高三第一次联考语文试题及答案
2022-02-14 10:46:26
江西省上饶市六校2022届高三第一次联考语文试题及答案小编已经收集整理好了,结合地区复习情况针对的检验学生对所复习内容的掌握情况,为接下来的复习做好规划,需要核对答案的伙
焦作市普通高中2021-2022学年高三年级第一次模拟考试理科数学试题及答案
2022-02-14 10:19:40
焦作市普通高中2021-2022学年高三年级第一次模拟考试理科数学试题及答案小编已经收集整理好了,结合地区复习情况针对的检验学生对所复习内容的掌握情况,为接下来的复习做好规
皖江名校2022届高三第五次联考理科数学试题及答案
2022-02-14 08:26:54
皖江名校2022届高三第五次联考理科数学试题及答案小编已经收集整理好了,结合地区复习情况针对的检验学生对所复习内容的掌握情况,为接下来的复习做好规划,需要核对答案的伙伴可