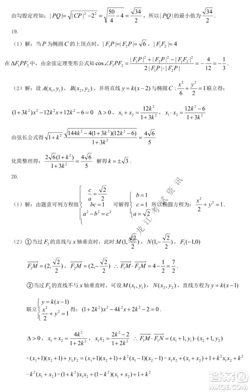
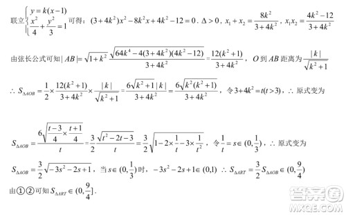
哈尔滨市第六中学校2020级上学期期末考试高二数学试题及答案小编已经为大家收集整理好了,这套试卷对该学期学生的学习成果进行了检验,为下学期的知识点做了良好的铺垫,需要核对答案的同学,可以到答案圈查阅哦!

答案如下:










哈尔滨市第六中学校2020级上学期期末考试高二英语试题及答案
2022-01-18 16:42:26
哈尔滨市第六中学校2020级上学期期末考试高二英语试题及答案小编已经为大家收集整理好了,这套试卷对该学期学生的学习成果进行了检验,为下学期的知识点做了良好的铺垫,需要核对
哈尔滨市第六中学校2020级上学期期末考试高二语文试题及答案
2022-01-18 16:19:54
哈尔滨市第六中学校2020级上学期期末考试高二语文试题及答案小编已经为大家收集整理好了,这套试卷对该学期学生的学习成果进行了检验,为下学期的知识点做了良好的铺垫,需要核对
深圳实验学校高中部2021-2022学年度第一学期第二阶段考试高二数学试题及答案
2022-01-10 17:40:26
深圳实验学校高中部2021-2022学年度第一学期第二阶段考试高二数学试题及答案小编已经收集整理好了,做好每个阶段的总结学习,全面检验自己的复习情况做好查漏补缺学习,需要核对
2021年湖南金太阳12月联考高二数学试题及答案
2021-12-16 11:20:49
2021年湖南金太阳12月联考高二数学试题及答案小编已经收集整理好了,高二年级的金太阳联考答案,感兴趣的伙伴可以来答案圈查看!2021年湖南金太阳12月联考高二数学试题及答案本次