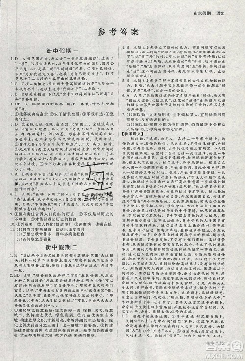
光明日报出版社2020年衡水假期寒假作业高二语文参考答案小编已经收集整理好了,答案比较简洁,详细的思路还是需要大家自己思考,答案仅供参考不要直接抄袭哦!

本书系列的其他年级和科目的答案小编也有收集整理,大家可以根据自己的需要在答案圈对应的年级搜索即可






武汉大学出版社2020happy寒假作业快乐寒假四年级英语答案
2020-02-02 17:14:55
小编这次收集整理的是武汉大学出版社2020happy寒假作业快乐寒假四年级英语的答案,在做完了之后可以来答案圈看看,了解一下自己做的对不对!武汉大学出版社2020happy寒假作业快乐
光明日报出版社2020年衡水假期寒假作业高二地理参考答案
2020-02-02 17:07:51
光明日报出版社2020年衡水假期寒假作业高二地理参考答案小编已经收集整理好了,答案比较简洁,详细的思路还是需要大家自己思考,答案仅供参考不要直接抄袭哦!光明日报出版社2020年
光明日报出版社2020年衡水假期寒假作业高二生物参考答案
2020-01-29 12:20:32
光明日报出版社2020年衡水假期寒假作业高二生物参考答案小编已经收集整理好了,答案比较简洁,详细的思路还是需要大家自己思考,答案仅供参考不要直接抄袭哦!光明日报出版社2020年
光明日报出版社2020年衡水假期寒假作业高二数学理科参考答案
2020-01-29 12:08:15
光明日报出版社2020年衡水假期寒假作业高二数学理科参考答案小编已经收集整理好了,答案比较简洁,详细的思路还是需要大家自己思考,答案仅供参考不要直接抄袭哦!光明日报出版社20
光明日报出版社系列答案