小编这次收集整理的是龙岩2022-2023学年高二下学期期末教学质量检查的数学试题答案,考试时间120分钟,满分150分,这个是龙岩市的高二下学期期末联考数学试题,感兴趣的可以来看看哦!

答案如下,仅供参考!














金太阳联考2023年7月高二下学期期末考试3549B物理试卷答案
2023-07-07 18:06:48
小编这次收集整理的是金太阳联考2023年7月高二下学期期末考试3549B的物理试卷答案,这个是7月5日到7月6日的考试,感兴趣的可以来看看,检查一下自己做的对不对 ,其他学科的站内搜
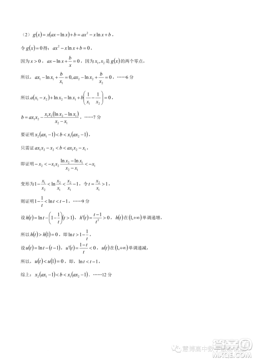
金太阳联考2023年7月高二下学期期末考试3549B数学试卷答案
2023-07-07 17:35:00
小编这次收集整理的是金太阳联考2023年7月高二下学期期末考试3549B的数学试卷答案,考试时间7月5日到7月6日,本次命题范围为高考范围,这个是金太阳系列的,出题质量还是不错的,其他
金太阳联考2023年7月高二下学期期末考试3549B语文试卷答案
2023-07-07 17:27:03
小编这次收集整理的是金太阳联考2023年7月高二下学期期末考试编号3549B的语文试卷答案,这个是7月5日的考试,新鲜出炉,本次考试范围是高考范围,默写为人教必修上册高考必备篇目,感
长郡中学2022-2023学年高二下学期期末考试数学试卷答案
2023-07-07 17:07:16
小编这次收集整理的是长郡中学2022-2023学年高二下学期期末考试的数学试卷答案,时量120分钟,满分150分,这个是长郡中学的高二考试,感兴趣的可以来看看,练习一下,看看自己当前知识