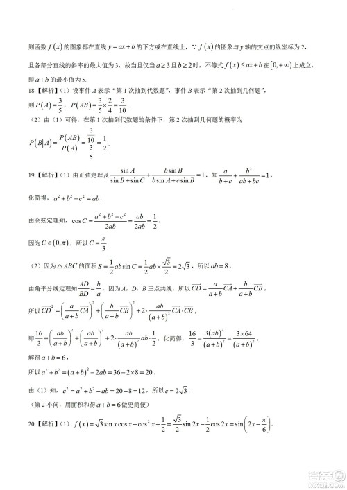
湖南省长郡中学2021-2022学年高二下学期期末考试数学试题及答案小编已经收集整理好了,大家在考完可以来核对答案对自己的发挥做出一个更好评估。

本次考试系列的其他科目小编也有整理收集,需要核对答案的伙伴可以来答案圈对应年级搜索查看!











湖南省长郡中学2021-2022学年高二下学期期末考试历史试题及答案
2022-07-12 15:01:30
湖南省长郡中学2021-2022学年高二下学期期末考试历史试题及答案小编已经收集整理好了,大家在考完可以来核对答案对自己的发挥做出一个更好评估。湖南省长郡中学2021-2022学年
湖南省长郡中学2021-2022学年高二下学期期末考试物理试题及答案
2022-07-12 14:46:30
湖南省长郡中学2021-2022学年高二下学期期末考试物理试题及答案小编已经收集整理好了,大家在考完可以来核对答案对自己的发挥做出一个更好评估。湖南省长郡中学2021-2022学年
湖南省长郡中学2021-2022学年高二下学期期末考试政治试题及答案
2022-07-12 14:31:57
湖南省长郡中学2021-2022学年高二下学期期末考试政治试题及答案小编已经收集整理好了,大家在考完可以来核对答案对自己的发挥做出一个更好评估。湖南省长郡中学2021-2022学年
湖南省长郡中学2021-2022学年高二下学期期末考试生物试题及答案
2022-07-12 14:17:20
湖南省长郡中学2021-2022学年高二下学期期末考试生物试题及答案小编已经收集整理好了,大家在考完可以来核对答案对自己的发挥做出一个更好评估。湖南省长郡中学2021-2022学年