银川一中2021-2022学年度下高二期中考试文科数学试卷及答案小编已经收集整理好了,针对这个学期前半个阶段的总结和检验,为接下来的学习做好相应的准备和学习计划的调整,需要核对答案的伙伴可以来答案圈看!

本次联考的其他科目的答案小编也有收集整理,大家可以根据自己使用的练习册在答案圈对应的年级搜索查看!














银川一中2021-2022学年度下高二期中考试语文试卷及答案
2022-05-30 17:23:53
银川一中2021-2022学年度下高二期中考试语文试卷及答案小编已经收集整理好了,针对这个学期前半个阶段的总结和检验,为接下来的学习做好相应的准备和学习计划的调整,需要核对答
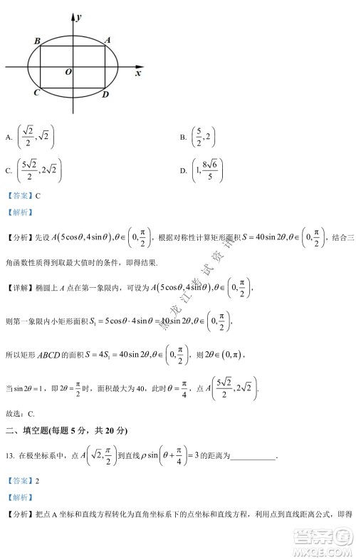
哈尔滨市第九中学2022届高三第四次模拟考试文科数学试卷及答案
2022-05-25 19:05:17
哈尔滨市第九中学2022届高三第四次模拟考试文科数学试卷及答案已经为大家收集整理好了,大家可以考完试来答案圈查阅参考哦!哈尔滨市第九中学2022届高三第四次模拟考试文科数学
2022银川一中第三次模拟考试文科数学试卷及答案
2022-05-23 16:09:33
2022银川一中第三次模拟考试文科数学试卷及答案小编已经收集整理好了,让大家能更好的检验自己学习中的不足,在接下来的复习中重点去巩固提高,需要的伙伴可以来答案圈核对答案!20
太原市2022年高三年级模拟考试三文科数学试卷及答案
2022-05-21 08:56:54
太原市2022年高三年级模拟考试三文科数学试卷及答案小编已经收集整理好了,让大家能更好的检验自己学习中的不足,在接下来的复习中重点去巩固提高,需要的伙伴可以来答案圈核对答