首页小学初中高中专题
当前位置:首页 > 高中答案网 > 高中二年级答案

河南省中原名校联盟高二年级2021-2022学年上学期第二次适应性联考理科数学试卷及答案

时间:2022-02-16 10:21:50    作者:答案圈
标签:
高二考试答案

河南省中原名校联盟高二年级2021-2022学年上学期第二次适应性联考理科数学试卷及答案已经为大家收集整理好了,有兴趣的小伙伴,可以到答案圈核对查阅哦!zuI答案圈

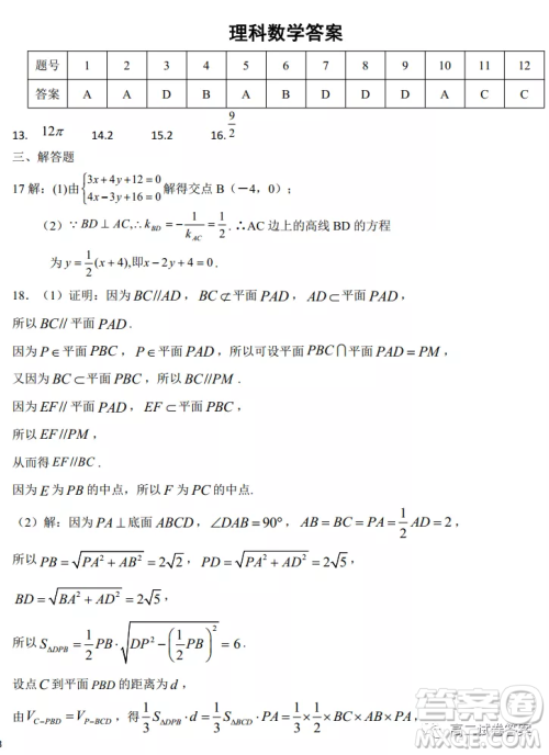
河南省中原名校联盟高二年级2021-2022学年上学期第二次适应性联考理科数学试卷及答案zuI答案圈

河南省中原名校联盟高二年级2021-2022学年上学期第二次适应性联考理科数学试卷及答案

答案如下:zuI答案圈

河南省中原名校联盟高二年级2021-2022学年上学期第二次适应性联考理科数学试卷及答案zuI答案圈

河南省中原名校联盟高二年级2021-2022学年上学期第二次适应性联考理科数学试卷及答案zuI答案圈

河南省中原名校联盟高二年级2021-2022学年上学期第二次适应性联考理科数学试卷及答案zuI答案圈

河南省中原名校联盟高二年级2021-2022学年上学期第二次适应性联考理科数学试卷及答案zuI答案圈

河南省中原名校联盟高二年级2021-2022学年上学期第二次适应性联考理科数学试卷及答案zuI答案圈

河南省中原名校联盟高二年级2021-2022学年上学期第二次适应性联考理科数学试卷及答案zuI答案圈

河南省中原名校联盟高二年级2021-2022学年上学期第二次适应性联考理科数学试卷及答案zuI答案圈

河南省中原名校联盟高二年级2021-2022学年上学期第二次适应性联考理科数学试卷及答案zuI答案圈

河南省中原名校联盟高二年级2021-2022学年上学期第二次适应性联考理科数学试卷及答案zuI答案圈

查看更多答案
相关文章
专题推荐

2022小学长江作业本上册系列答案

2022阳光学业评价上册系列答案

2022资源与评价上册系列答案

2022初中全品学练考上册系列答案

2022阳光同学课时优化作业上册系列答案

相关专题
课后作业答案
数学
语文
英语
历史
地理
政治
物理
化学
生物
其他
网友留言
最新更新
2022学年第一学期浙江省精诚联盟10月联考高二年级地理学科试题及答案
高二考试答案
2022学年第一学期浙江省精诚联盟10月联考高二年级政治学科试题及答案
高二考试答案
2022学年第一学期浙江省精诚联盟10月联考高二年级语文学科试题及答案
高二考试答案
2022学年第一学期浙江省精诚联盟10月联考高二年级物理学科试题及答案
高二考试答案