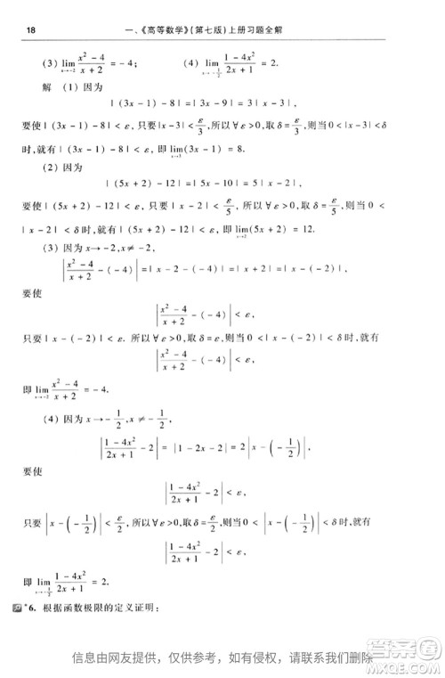
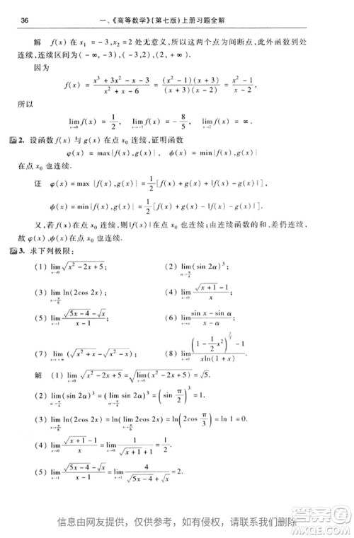
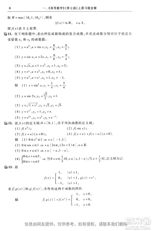
高等教育出版社2020高等数学第七版上册课后习题答案已经整理好,更新到的是高等数学第七版课后习题答案,使用这本教材的同学可以参考课后习题答案。

ISBN:9787040396638,书名:高等数学第七版,学科:数学,版本:同济大学编,出版社:高等教育出版社

















































高等教育出版社2020有机化学第三版课后习题答案
2020-08-20 08:01:03
高等教育出版社有机化学第三版课后习题答案已经和大家分享,有机化学第三版教材的课后习题答案小编已经整理好,使用这本教材的同学可以参考习题答案。高等教育出版社有机化学第
高等教育出版社2020数学分析第四版上册课后习题答案
2020-08-19 14:22:33
小编这次收集整理的是华东师范大学数学系编写的数学分析这套大学生教辅的课后习题答案,使用这本教辅的可以做完了课后习题之后来核对一下答案哦!高等教育出版社2020数学分析第
2020人教版八年级物理课本下册课后习题答案
2020-02-21 16:14:31
人民教育出版社出版的2020人教版八年级物理课本下册课后习题的答案小编已经收集整理,使用人教版的物理教科书的可以做完了课后习题来检查核对一下,也是一个自我学习的过程!2020
2020鲁教版七年级数学课本下册课后习题答案
2020-02-21 15:33:02
小编这次收集整理的是山东教育出版社出版的七年级义务教育教科书数学下册课后习题答案,这本也就是鲁教版的,使用这个版本的可以在做完了题目之后检查答案哦!2020鲁教版七年级数