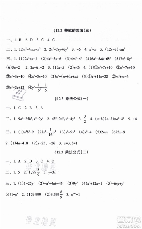
南方出版社2021新课程课堂同步练习册八年级数学上册华师版答案小编为大家整理好了,本书是由南方出版社、海南出版社联合出版发行,配合华师版课本使用,根据学生的学习特点,在梳理教材时注重知识关联记忆、辨析比较及内涵理解,提高灵活运用知识的能力,做完可以来答案圈核对一下,效率更高哦!

参考答案下图所示,请同学们仔细核对。




















南方出版社2021新课程课堂同步练习册八年级数学上册人教版答案
2021-12-21 17:01:32
南方出版社2021新课程课堂同步练习册八年级数学上册人教版答案小编为同学们整理好了,本书是由南方出版社、海南出版社联合出版发行,习题具有较强的代表性,练习有层次有梯度,科学
南方出版社2021新课程课堂同步练习册八年级语文上册人教版答案
2021-12-21 16:46:33
南方出版社2021新课程课堂同步练习册八年级语文上册人教版答案小编为同学们整理好了,本书是由南方出版社、海南出版社联合出版发行,与教材紧密贴合,题目力求新颖、灵活、多样,帮
南方出版社2021新课程课堂同步练习册七年级英语上册外研版答案
2021-12-21 16:32:42
南方出版社2021新课程课堂同步练习册七年级英语上册外研版答案小编为同学们整理好了,本书是由南方出版社、海南出版社联合出版发行,配合外研版课本使用,将课本知识点进行全面细
南方出版社2021新课程课堂同步练习册七年级英语上册人教版答案
2021-12-21 16:19:20
南方出版社2021新课程课堂同步练习册七年级英语上册人教版答案小编为同学们整理好了,本书是由南方出版社、海南出版社联合出版发行,题目由易到难,按新课程标准的要求,分考点梳理
新课程课堂同步练习册系列答案