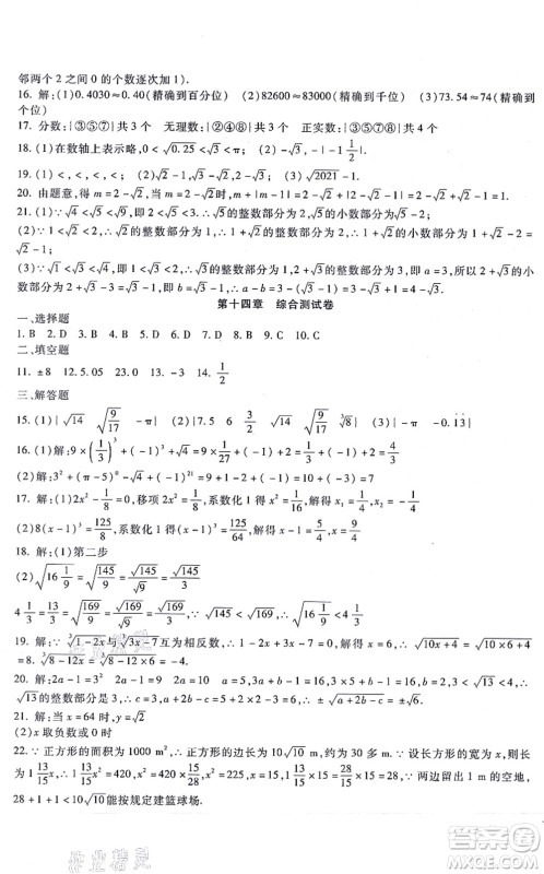
吉林教育出版社2021海淀金卷八年级数学上册JJ冀教版答案小编为大家整理好了,本书是由吉林教育出版社出版发行,根据教育部最新课程标准编写,除了练习基础知识,加深记忆外,还有专项知识点强化训练,综合复习,查漏补缺夯实基础,同学们做完题目可以来答案圈核对一下,效率更高哦!

以下就是八年级数学冀教版的参考答案了,欢迎大家来查阅。需要其他科目的参考资料,也可以在答案圈搜索找到哦。
















吉林教育出版社2021海淀金卷八年级数学上册RJ人教版答案
2021-12-10 15:36:23
吉林教育出版社2021海淀金卷八年级数学上册RJ人教版答案小编整理好了,本书是由吉林教育出版社出版发行,根据教育部最新课程标准编写,紧扣教材结合课堂教学,通过课时训练、单元检
吉林教育出版社2021海淀金卷八年级语文上册部编版答案
2021-12-10 15:23:50
吉林教育出版社2021海淀金卷八年级语文上册部编版答案小编整理好了,本书是由吉林教育出版社出版发行,根据教育部最新课程标准编写,习题基于课本知识,把知识点融合到题目中,通过课
吉林教育出版社2021海淀金卷七年级生物上册JS冀少版答案
2021-12-10 15:09:24
吉林教育出版社2021海淀金卷七年级生物上册JS冀少版答案小编整理好了,本书是由吉林教育出版社出版发行,根据教育部最新课程标准编写,编写内容丰富多样,信息充足,知识分布全面,规律
吉林教育出版社2021海淀金卷七年级生物上册RJ人教版答案
2021-12-10 14:55:35
吉林教育出版社2021海淀金卷七年级生物上册RJ人教版答案小编整理好了,本书是由吉林教育出版社出版发行,根据教育部最新课程标准编写,注重基础,梯度恰当,强化基础知识、基本技能、
海淀金卷系列答案