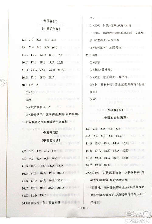
山东教育出版社2021初中同步练习册分层卷八年级地理上册湘教版参考答案小编已经为大家收集整理好了,本书是由山东教育出版社出版设计,本书紧跟教材的教学要求精心编写,题目设计科学有效,目的是让学生在课后可以进行相应的练习,对每课学习的知识进行及时巩固,发现并解决学习中存在的问题,便于以后查漏补缺,进行系统的学习,喜欢本书的同学,可以到答案圈查阅本书习题,会对你的学习成绩有所帮助的!

答案如下,欢迎查阅!














山东教育出版社2021初中同步练习册分层卷五四制八年级化学鲁教版参考答案
2021-12-07 08:51:10
山东教育出版社2021初中同步练习册分层卷五四制八年级化学鲁教版参考答案小编已经为各位同学收集整理好了,本书是由山东教育出版社出版设计,本书题型种类多,题目新,题量大,训练针
山东教育出版社2021初中同步练习册分层卷八年级生物上册济南版参考答案
2021-12-07 08:38:10
山东教育出版社2021初中同步练习册分层卷八年级生物上册济南版参考答案小编已经为大家收集整理好了,本书是由山东教育出版社出版设计,本书倡导同步提优的理念,与相应版本教材完
山东教育出版社2021初中同步练习册分层卷八年级道德与法治上册人教版参考答案
2021-12-07 08:27:41
山东教育出版社2021初中同步练习册分层卷八年级道德与法治上册人教版参考答案小编已经为大家收集整理好了,本书是由山东教育出版社出版设计,本书帮助学生能从不同的角度去思考
山东教育出版社2021初中同步练习册分层卷八年级物理上册人教版参考答案
2021-12-07 08:16:30
山东教育出版社2021初中同步练习册分层卷八年级物理上册人教版参考答案小编已经为大家收集整理好了,本书是由山东教育出版社出版设计,如果你已经做完本书的练习册习题了,欢迎你
初中同步练习册分层卷上册系列答案