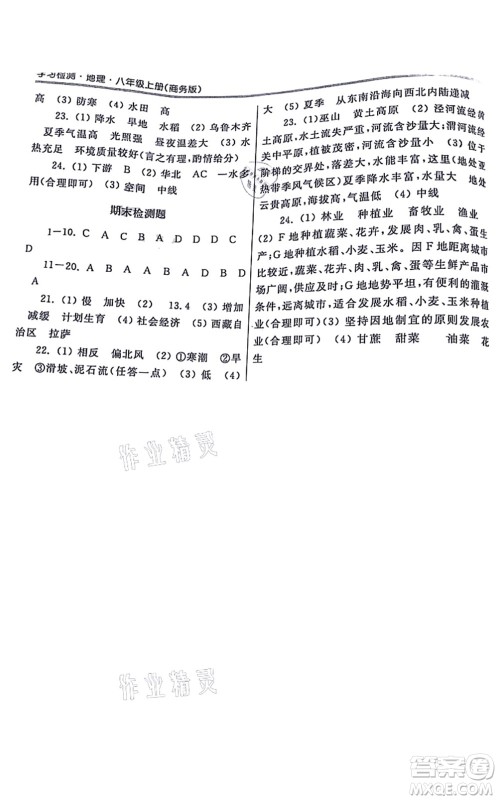
河南大学出版社2021学习检测八年级地理上册商务版答案小编为大家整理好了,本书是由河南大学出版社出版发行,适用于2021年秋季开学初二,使用商务版教材的师生,让学生全面了解自己的每个阶段学习情况,以便及时查漏补缺,强化基础,稳步提升,需要核对答案的同学可以来看看哦!

参考答案下图所示,请同学们仔细核对。






河南大学出版社2021学习检测八年级地理上册地图版答案
2021-11-23 10:29:43
河南大学出版社2021学习检测八年级地理上册地图版答案为大家整理好了,本书是由河南大学出版社出版发行,适用于2021年秋季开学初二,使用地图版教材的师生,利用碎片化时间针对运算
河南大学出版社2021学习检测八年级生物上册苏教版答案
2021-11-23 10:12:53
河南大学出版社2021学习检测八年级生物上册苏教版答案为大家整理好了,本书是由河南大学出版社出版发行,适用于2021年秋季开学初二,使用苏教版教材的师生,从知识的方法点、综合点
华东师范大学出版社2021学习检测八年级数学上册华东师大版河南专版答案
2021-11-23 09:59:54
华东师范大学出版社2021学习检测八年级数学上册华东师大版河南专版答案为大家整理好了,本书是由华东师范大学出版社出版发行,结合河南地区教学特色,习题紧贴课堂教学,采用新课标
河南大学出版社2021学习检测八年级地理上册湘教版答案
2021-11-23 09:45:47
河南大学出版社2021学习检测八年级地理上册湘教版答案为大家整理好了,本书是由河南大学出版社出版发行,适用于2021年秋季开学初二,使用湘教版教材的师生,同步练习、能力提高、阶
学习检测系列答案