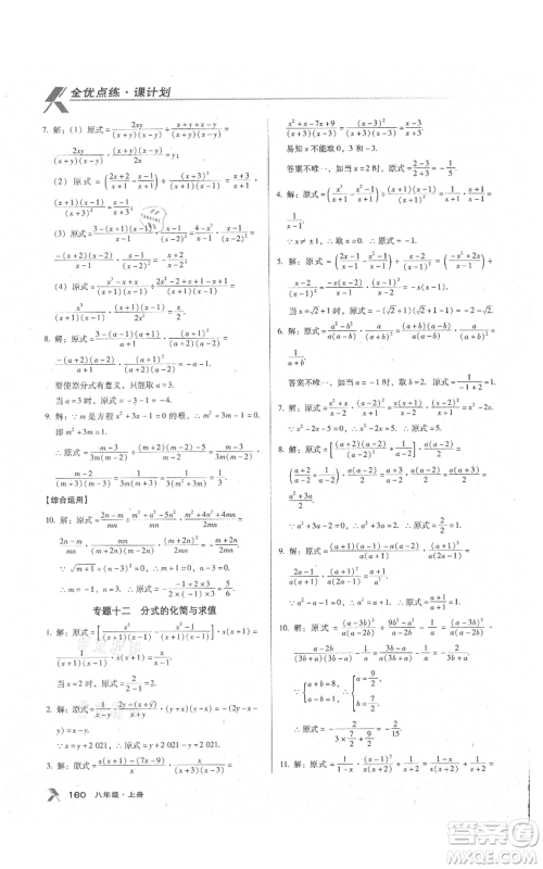
辽海出版社2021全优点练课计划八年级上册数学人教版参考答案小编已经为各位同学收集整理好了,本书是由辽海出版社出版设计,本书作为课时练习类的配套教辅,注重课时设置的全面性,在新授课时的基础上,增设了章末总结提升,使课时设置与教学进程保持一致,从而逐步提升学生成绩,喜欢的小伙伴,快来答案圈查阅参考吧!

答案如下,欢迎查阅!








































辽海出版社2021全优点练课计划八年级上册英语人教版参考答案
2021-10-13 17:09:54
辽海出版社2021全优点练课计划八年级上册英语人教版参考答案小编已经为各位同学收集整理好了,本书是由辽海出版社出版设计,本书所设计的题目由易到难,由基础到提高,使学生更系统
辽海出版社2021全优点练课计划八年级上册语文人教版参考答案
2021-10-13 16:59:21
辽海出版社2021全优点练课计划八年级上册语文人教版参考答案小编已经为各位同学收集整理好了,本书是由辽海出版社出版设计,本书按照深层理解、拓展、突破三个层级进行重点讲解
中国地图出版社2021全优点练课计划七年级上册地理人教版参考答案
2021-10-13 16:40:47
中国地图出版社2021全优点练课计划七年级上册地理人教版参考答案小编已经为各位同学收集整理好了,本书是由中国地图出版社出版设计,本书对每个知识点设置了“基础知识”“基本
辽海出版社2021全优点练课计划七年级上册数学人教版参考答案
2021-10-13 16:21:24
辽海出版社2021全优点练课计划七年级上册数学人教版参考答案小编已经为各位同学收集整理好了,本书是由辽海出版社出版设计,本书帮助同学们及时巩固所学知识,及时发现并解决学习
2021全优点练课计划上册系列答案