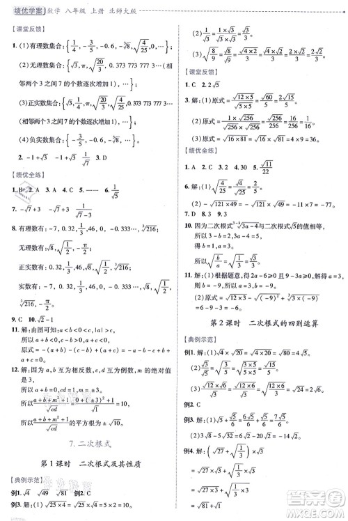
陕西师范大学出版总社有限公司2021绩优学案八年级数学上册北师大版答案小编为同学们整理好了,根据本阶段的学习目标,着力于数学基础知识的融会贯通,以便及时查漏补缺,强化基础,稳步提升,同学们做完题目可以来答案圈核对一下,效率更高哦!

以下就是八年级数学上册北师大版的参考答案了,需要其他科目和对应年级参考资料的小伙伴们,也可以在答案圈搜索找到哦。






































人民教育出版社2021绩优学案八年级生物上册人教版答案
2021-09-22 10:15:31
人民教育出版社2021绩优学案八年级生物上册人教版答案小编为同学们整理好了,本书是由人民教育出版社出版发行,既能巩固基础知识点,又可以提高学生的创新能力,内容由易到难,阶梯训
人民教育出版社2021绩优学案八年级地理上册人教版答案
2021-09-22 10:05:33
人民教育出版社2021绩优学案八年级地理上册人教版答案整理好了,本书是由人民教育出版社出版发行,从知识的方法点、综合点、拓展点进行典例解读,拓展思维,开阔视野,有针对性的重点
人民教育出版社2021绩优学案八年级数学上册人教版答案
2021-09-22 09:51:26
人民教育出版社2021绩优学案八年级数学上册人教版答案小编为同学们整理好了,本书是由人民教育出版社出版发行,书中习题分类精讲,分层练透,把知识点融合到题目中,通过课后练习让学
人民教育出版社2021绩优学案八年级英语上册人教版答案
2021-09-22 09:35:26
人民教育出版社2021绩优学案八年级英语上册人教版答案小编为同学们整理好了,本书是由人民教育出版社出版发行,打基础、强能力、提素养,梯度恰当,强化基础知识、基本技能、基本应
2021绩优学案上册系列答案