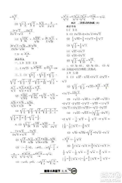
辽宁教育出版社2021尖子生课时作业八年级数学下册人教版答案小编已经为大家收集整理好了,这本书是由辽宁教育出版社出版发行的初中教材辅导习题册,本书借助教材例题及创编例题将教材知识点进行全面细致解读,突出逻辑性、规律性、技巧性,对这本书感兴趣的小伙伴们快来答案圈看看吧!

本书系列的其他年级和科目的答案小编也有整理,大家可以在答案圈对应的年级搜索查看。
















































辽宁教育出版社2021尖子生课时作业八年级语文下册人教版答案
2021-07-08 14:53:23
辽宁教育出版社2021尖子生课时作业八年级语文下册人教版答案小编已经为大家收集整理好了,这本书是由辽宁教育出版社出版发行的初中教材辅导习题册,本书习题紧贴课堂教学,采用新
辽宁教育出版社2021尖子生课时作业七年级英语下册人教版答案
2021-07-08 14:39:20
辽宁教育出版社2021尖子生课时作业七年级英语下册人教版答案小编已经为大家收集整理好了,这本书是由辽宁教育出版社出版发行的初中教材辅导习题册,用于学生在课余时间检测当天
辽宁教育出版社2021尖子生课时作业七年级数学下册人教版答案
2021-07-08 14:24:09
辽宁教育出版社2021尖子生课时作业七年级数学下册人教版答案已经为大家收集整理好了,这本书是由辽宁教育出版社出版发行的初中教材辅导习题册,题目遵循由易到难的原则,精心设计
辽宁教育出版社2021尖子生课时作业七年级语文下册人教版答案
2021-07-08 14:11:31
辽宁教育出版社2021尖子生课时作业七年级语文下册人教版答案小编已经为大家收集整理好了,这本书是由辽宁教育出版社出版发行的初中教材辅导习题册,编写内容丰富,信息充足,知识分
2021尖子生课时作业系列答案