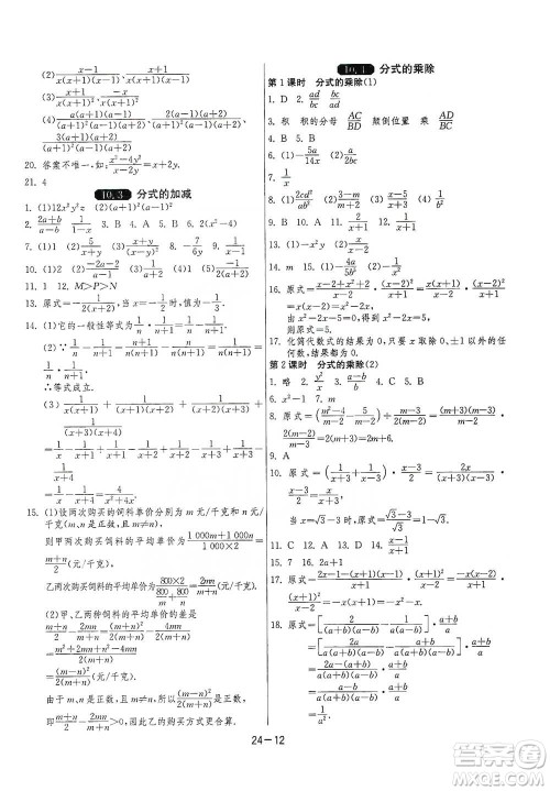
江苏人民出版社2021年1课3练单元达标测试八年级下册数学苏科版参考答案小编已经为各位小伙伴收集整理好了,这本书是由江苏人民出版社所出版设计,全面提高学生数学各方面能力,当做完这本书练习题,你就会找到自己哪些题型做的不好,从而进行专项锻炼,做题正确率便会大大提高。如果你已经做完题了,欢迎你来答案圈查阅参考!

答案如下,欢迎查阅!
























江苏人民出版社2021年1课3练单元达标测试八年级下册数学浙教版参考答案
2021-07-01 09:18:24
江苏人民出版社2021年1课3练单元达标测试八年级下册数学浙教版参考答案小编已经为各位同学们收集整理好了,这本书是由江苏人民出版社所出版设计,全面提升学生数学各方面的知识
江苏人民出版社2021年1课3练单元达标测试八年级下册语文人教版参考答案
2021-07-01 09:06:12
江苏人民出版社2021年1课3练单元达标测试八年级下册语文人教版参考答案小编已经为各位小伙伴收集整理好了,这本书是由江苏人民出版社所出版设计,全面提升学生语文课外阅读能力
江苏人民出版社2021年1课3练单元达标测试八年级下册英语人教版参考答案
2021-07-01 08:51:41
江苏人民出版社2021年1课3练单元达标测试八年级下册英语人教版参考答案小编已经为各位同学们收集整理好了,这本书是由江苏人民出版社,ISBN为9787214111807,这本书加强了学生的
江苏人民出版社2021年1课3练单元达标测试八年级下册历史与社会人教版参考答案
2021-07-01 08:39:56
江苏人民出版社2021年1课3练单元达标测试八年级下册历史与社会人教版参考答案小编已经为各位收集整理好了,这本书是由江苏人民出版社所出版,这本书结合教材所设计,在课后学生也