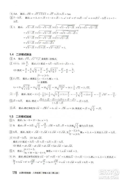
华东师范大学出版社2021从课本到奥数A版八年级第二学期数学通用版参考答案小编已经为各位小伙伴收集整理好了,这本书是由华东师范大学出版社所出版,这本书ISBN为9787576008975,如果你对奥数感兴趣,你可以到答案圈搜索栏里搜索这本书,检查一下自己做的对不对,但是大家不要搜索版本了哦!

答案如下,仅供参考!





































华东师范大学出版社2021从课本到奥数B版七年级第二学期数学通用版参考答案
2021-06-25 15:00:10
华东师范大学出版社2021从课本到奥数七年级第二学期数学通用版参考答案小编已经为各位小伙伴收集整理好了,这本书是华东师范大学出版社所出版,帮助大家提升自身学习能力,提高自
华东师范大学出版社2021从课本到奥数A版七年级第二学期数学通用版参考答案
2021-06-25 14:47:13
华东师范大学出版社2021从课本到奥数A版七年级第二学期数学通用版参考答案小编已经为各位小伙伴收集整理好,这本书是华东师范大学出版社所出版,这本书是在数学课堂学习的基础
超能学典2020小学数学从课本到奥数同步练三年级下册江苏版答案
2020-02-05 15:46:40
超能学典小学数学从课本到奥数同步练三年级下册江苏版答案收集整理如下,做完了的可以来答案圈了解一下,看看自己做的对不对,不要直接照抄哦!超能学典2020小学数学从课本到奥数同
2019超能学典小学数学从课本到奥数同步练六年级上册人教RJ版双色版参考答案
2019-08-19 11:25:37
2019超能学典小学数学从课本到奥数同步练六年级上册人教RJ版双色版参考答案小编已经整理好发布在答案圈了,需要其他年级的朋友也可以在答案圈搜索哟。2019超能学典小学数学从