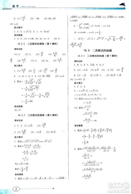
广东教育出版社2021南方新课堂金牌学案数学八年级下册人教版答案小编已经为大家收集整理好了,多角度多思维方式的训练方法,让学生在不断练习中培养独立学习独立思考的能力,需要答案的伙伴可以来答案圈查看哦!

其他科目的答案小编也有整理,感兴趣的伙伴可以来答案圈查看!
















广东教育出版社2021南方新课堂金牌学案语文八年级下册人教版答案
2021-06-18 10:31:52
广东教育出版社2021南方新课堂金牌学案语文八年级下册人教版答案小编已经为大家收集整理好了,多角度多思维方式的训练方法,让学生在不断练习中培养独立学习独立思考的能力,需要
广东教育出版社2021南方新课堂金牌学案地理八年级下册湘教版答案
2021-06-18 10:17:40
广东教育出版社2021南方新课堂金牌学案地理八年级下册湘教版答案小编已经为大家收集整理好了,多角度多思维方式的训练方法,让学生在不断练习中培养独立学习独立思考的能力,需要
广东教育出版社2021南方新课堂金牌学案地理八年级下册人教版答案
2021-06-18 10:02:14
广东教育出版社2021南方新课堂金牌学案地理八年级下册人教版答案小编已经为大家收集整理好了,多角度多思维方式的训练方法,让学生在不断练习中培养独立学习独立思考的能力,需要
广东教育出版社2021南方新课堂金牌学案道德与法治八年级下册人教版答案
2021-06-18 09:47:36
广东教育出版社2021南方新课堂金牌学案道德与法治八年级下册人教版答案小编已经为大家收集整理好了,从教材出发,结合课堂教师讲解,多角度多思维方式的训练方法,让学生在不断练习
2021初中南方新课堂金牌学案系列答案