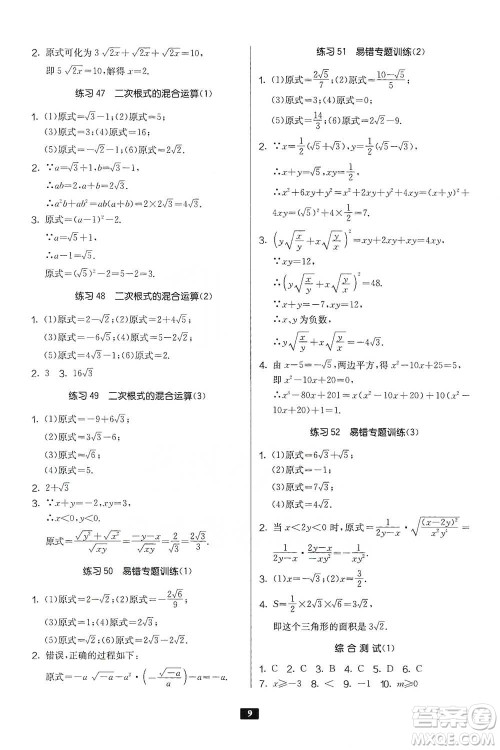
江苏人民出版社2021初中数学计算高手八年级通用版参考答案小编已经为大家收集整理好了,如果有对这本书感兴趣或者需要核对答案的小伙伴,欢迎小伙伴们到答案圈查阅参考,希望可以对大家有所帮助。

答案如下,仅供参考!
































江苏人民出版社2021初中数学计算高手八年级人教版参考答案
2021-06-12 10:48:10
江苏人民出版社2021初中数学计算高手八年级人教版参考答案小编已经为大家收集整理好啦,这本书可以帮助学生掌握每天所学会的计算方法,如果有需要的小伙伴,可以不妨到答案圈看看
江苏人民出版社2021初中数学计算高手八年级北师大版参考答案
2021-06-12 10:32:51
江苏人民出版社2021初中数学计算高手八年级北师大版参考答案小编已经为大家收集整理好了相关资料,这本书是由江苏人民出版社所出版,它提高了学生对数学的兴趣,同时也巩固了学生
江苏人民出版社2021初中数学计算高手七年级北师大版参考答案
2021-06-12 10:18:57
江苏人民出版社2021初中数学计算高手七年级北师大版参考答案小编已经为大家收集整理好相关资料,如果有需要对比答案的小伙伴,快来答案圈看看吧,希望答案圈可以帮助到你!江苏人民
江苏人民出版社2021初中数学计算高手七年级人教版参考答案
2021-06-12 10:08:10
江苏人民出版社2021初中数学计算高手七年级人教版参考答案小编已经收集整理好相关资料,这本书是由江苏人民出版社所出版,它帮助学生在课后熟悉掌握数学各种应用题,数学基础较弱
江苏人民出版社系列答案