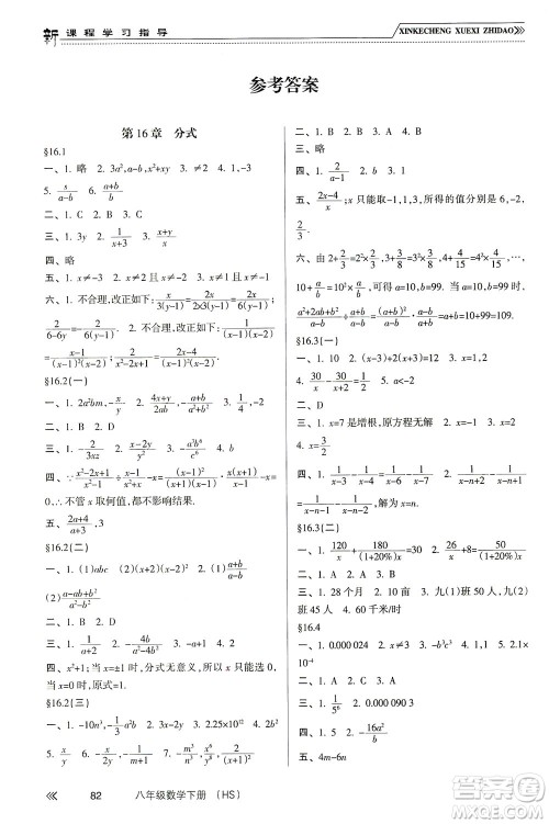
南方出版社2021新课程学习指导数学八年级下册HS华师大版答案小编已经收集整理好了,同步课堂练习,多方面剖析和讲解知识点,贴近课堂的实战训练,让学生更好的掌握每日所学知识点,练习完的伙伴可以来答案圈核对答案!

本书系列的其他年级和科目的答案小编也有整理收集,大家可以在答案圈对应的年级搜索查看。











南方出版社2021新课程学习指导物理九年级下册HK沪科版答案
2021-06-11 08:28:55
南方出版社2021新课程学习指导物理九年级下册HK沪科版答案小编已经收集整理好了,同步课堂练习,多方面剖析和讲解知识点,贴近课堂的实战训练,让学生更好的掌握每日所学知识点,练习
南方出版社2021新课程学习指导语文九年级下册人教版答案
2021-06-11 08:20:40
南方出版社2021新课程学习指导语文九年级下册人教版答案小编已经收集整理好了,同步课堂练习,多方面剖析和讲解知识点,贴近课堂的实战训练,让学生更好的掌握每日所学知识点,练习完
南方出版社2021新课程学习指导道德与法治九年级下册人教版答案
2021-06-11 08:11:06
南方出版社2021新课程学习指导道德与法治九年级下册人教版答案小编已经收集整理好了,同步课堂练习,多方面剖析和讲解知识点,贴近课堂的实战训练,让学生更好的掌握每日所学知识点
南方出版社2021新课程学习指导历史九年级下册人教版答案
2021-06-11 07:55:43
南方出版社2021新课程学习指导历史九年级下册人教版答案小编已经收集整理好了,同步课堂练习,多方面剖析和讲解知识点,贴近课堂的实战训练,让学生更好的掌握每日所学知识点,练习完
2021初中新课程学习指导系列答案