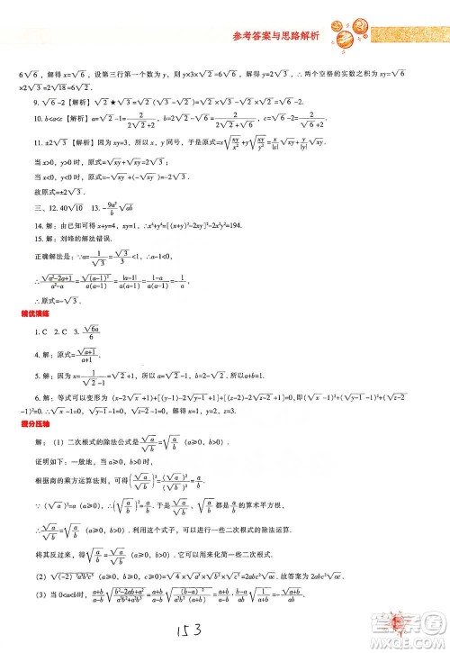
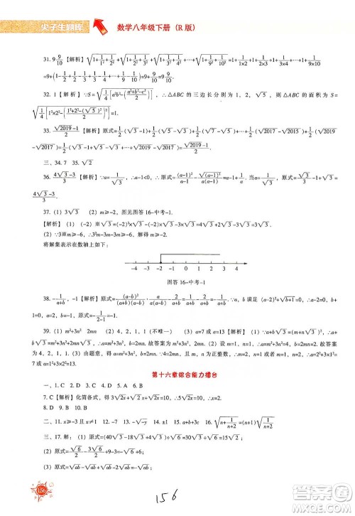
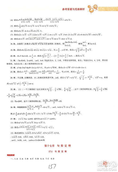
辽宁教育出版社2021尖子生题库数学八年级下册人教版参考答案小编已经为各位小伙伴们收集整理好啦,这本书是辽宁教育出版社所出版,是2020年12月出版,这本书专针对基础较为薄弱或想晋升自己数学能力的学生。如果有基础薄弱的学生想加强自己数学基本功,可以试一下这本书,希望这本书可以帮助到你。

答案如下,仅供参考。




















































辽宁教育出版社2021尖子生题库数学八年级下册北师版参考答案
2021-06-10 17:15:26
辽宁教育出版社2021尖子生题库数学八年级下册北师版参考答案小编已经为广大读者收集整理好了,这本书是由辽宁教育出版社出版设计,它提高了学生在课堂上不会的知识点,在课余时间
辽宁教育出版社2021尖子生题库物理八年级下册人教版参考答案
2021-06-10 17:05:19
辽宁教育出版社2021尖子生题库物理八年级下册人教版参考答案已经为大家收集整理好了相关资料,对这本尖子生题库物理感兴趣的小伙伴们,可以到答案圈查阅参考啦!辽宁教育出版社20
辽宁教育出版社2021尖子生题库数学七年级下册北师版参考答案
2021-06-10 16:56:02
辽宁教育出版社2021尖子生题库数学七年级下册北师版参考答案小编已经为各位小伙伴收集整理好了,当你做完这本书的题目后,欢迎你来答案圈对一下答案,这样知道题目对错才对自己有
辽宁教育出版社2021尖子生题库数学七年级下册人教版参考答案
2021-06-10 16:33:45
辽宁教育出版社2021尖子生题库数学七年级下册人教版参考答案小编已经为各位小伙伴收集整理好了,这本书是由辽宁教育出版社出版,它帮助学生在课余时间巩固课堂上所学的知识,让同
2021尖子生题库系列答案