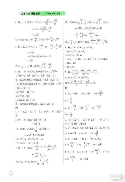
2021尖子生计算作业本系列小编这次收集整理的是八年级下册人教版的答案,做完了之后可以来检查一下,看看自己做的对不对,这个系列的还有其他学科的和其他年级的,直接站内搜书名就可以搜到了!

ISBN9787554929933辽宁教育出版社2020年12月第一次印刷答案如下,仅供参考!













辽宁教育出版社2021尖子生计算作业本八年级下册北师大版答案
2021-03-22 15:31:29
2021尖子生计算作业本八年级下册北师大版的答案小编收集整理如下,做完了之后可以来检查一下,看看自己做的对不对吧,这个系列的不要照抄答案哦,其他学科的和其他年级的直接站内搜
辽宁教育出版社2021尖子生计算作业本七年级下册人教版答案
2021-03-22 14:43:49
2021尖子生计算作业本七年级下册人教版的答案小编收集整理如下,做完了之后可以来检查一下,看看自己做的对不对,不要照抄答案哦,其他学科的和其他年级的直接站内搜书名吧!辽宁教育
辽宁教育出版社2021尖子生计算作业本七年级下册北师大版答案
2021-03-22 14:40:04
2021尖子生计算作业本七年级下册北师大版的答案小编收集整理如下,做完了之后可以来看看,这个是辽宁教育出版社出版的,注意看清楚版本哦!辽宁教育出版社2021尖子生计算作业本七年
新世纪出版社2021精英新课堂八年级数学I下册北师大版答案
2021-03-21 11:28:23
2021精英新课堂八年级数学I下册北师大版的答案小编收集整理如下,做完了之后可以来检查一下,看看自己做的对不对,不要照抄答案哦,其他学科的和其他年级的直接站内搜书名吧!新世纪
辽宁教育出版社答案