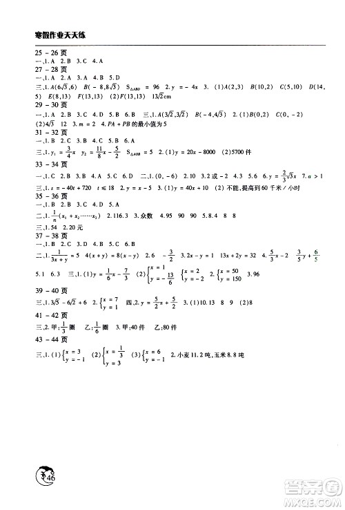
文心出版社2021寒假作业天天练八年级数学通用版答案小编已经收集整理好了,需要核对参考的伙伴可以来答案圈看看

本书系列的其他年级和科目的答案小编也有整理收集,大家可以根据自己的需要在对应的年级搜索查看


一、学习时间两周
利用一周左右的时间完成寒暑假作业和老师们额外布置的假期作业。时间不够?错!恩,一周时间足够了,如果一周时间还没有完成,那要么是我的做题效率太低,要么是老师的作业布置太多太多,作业设置不合理喽!当然,一般都是第一种原因了,除非我的学习真的很差劲,那就另当别论了。
做完作业,还有一周的时间,当然是继续用来学习了。这一周时间里,我一般会复习学过的科目知识,还会预习新学期的知识,当然,更多时候是复习和预习我的弱科。再剩下的时间就是读书了,我会认认真真地读一本名著,并且做读书笔记。当然,假期里遇到的各种常识、或新知识我也会积累下来的。如果你是超级学霸,那你也可以利用假期做一做拔高题或者竞赛题。
二、特长培养两周
也算不得什么特长培养吧,就是做我自己喜欢做的事而已。我有什么特长呢?不喜欢唱歌,也不喜欢跳舞;不会弹琴也不会吹笛;就会下棋,打篮球。好吧,那就二选一吧,有时间了就打篮球。每天打一两个小时,甚至有时候打篮球一打一下午。
这两周时间里,除了打篮球,剩下的时间就是培养一项其他的爱好。实在没有爱好了,那就和家人说话吧。说东说西,说长说短,说学校,说朋友,说学习。如果还有时间,那就看看书吧!我有时候也会去画画、练字,还有会练习写作。
文心出版社2021寒假作业天天练八年级语文人教版答案
2021-01-27 18:56:22
文心出版社2021寒假作业天天练八年级语文人教版答案小编已经收集整理好了,需要核对参考的伙伴可以来答案圈看看文心出版社2021寒假作业天天练八年级语文人教版答案本书系列的
文心出版社2021寒假作业天天练八年级英语通用版答案
2021-01-27 18:33:46
文心出版社2021寒假作业天天练八年级英语通用版答案小编已经收集整理好了,需要核对参考的伙伴可以来答案圈看看文心出版社2021寒假作业天天练八年级英语通用版答案本书系列的
文心出版社2021寒假作业天天练八年级物理通用版答案
2021-01-27 18:10:31
文心出版社2021寒假作业天天练八年级物理通用版答案小编已经收集整理好了,需要核对参考的伙伴可以来答案圈看看文心出版社2021寒假作业天天练八年级物理通用版答案本书系列的
文心出版社2021寒假作业天天练七年级英语通用版答案
2021-01-27 17:39:03
文心出版社2021寒假作业天天练七年级英语通用版答案小编已经收集整理好了,需要核对参考的伙伴可以来答案圈看看文心出版社2021寒假作业天天练七年级英语通用版答案本书系列的
2021初中寒假作业答案