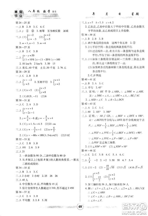
2021年智趣寒假作业八年级数学北师大版的答案小编收集整理如下,做完了之后可以来检查一下,看看自己做的对不对,这个系列的还有其他学科的哦,直接站内搜书名就可以搜到了!

答案如下,仅供参考!


云南科技出版社2021智趣寒假作业八年级数学人教版答案
2021-01-13 17:36:10
小编这次收集整理的是云南科技出版社2021智趣寒假作业八年级数学人教版的答案,做完了之后可以来检查一下,看看自己做的对不对,不要照抄答案哦,其他学科的和其他年级的直接站内搜
延边教育出版社2021快乐假期寒假作业八年级物理人教版答案
2021-01-13 17:20:23
2021快乐假期寒假作业八年级物理人教版的答案小编收集整理如下,做完了之后可以来检查一下,看看自己做的对不对,不要照抄答案哦,其他学科的和其他年级的直接站内搜书名吧!延边教育
延边教育出版社2021快乐假期寒假作业八年级生物人教版答案
2021-01-13 17:06:20
2021快乐假期寒假作业八年级生物人教版的答案小编收集整理好了,做完了之后可以来检查一下,看看自己做的对不对,不要照抄答案哦,其他学科的和其他年级的直接站内搜书名吧!延边教育
延边教育出版社2021快乐假期寒假作业八年级地理人教版答案
2021-01-13 16:59:48
小编这次收集整理的是延边教育出版社出版的2021快乐假期寒假作业八年级地理人教版的答案,做完了之后可以来检查一下,看看自己做的对不对,这个系列的还是非常不错的哦!延边教育出