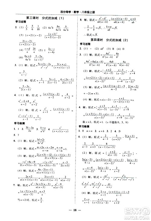
广东经济出版社2020年百分导学数学八年级上册人教版答案小编已经收集整理好了,正在使用的伙伴练习完可以来看看哦!

本书的其年级和他科目的答案小编也有整理,需要核对参考的伙伴直接在答案圈对应的年级搜索即可查看






























广东经济出版社2020年百分导学英语八年级上册人教版答案
2020-11-19 08:07:37
广东经济出版社2020年百分导学英语八年级上册人教版答案小编已经收集整理好了,正在使用的伙伴练习完可以来看看哦!广东经济出版社2020年百分导学英语八年级上册人教版答案本书
广东经济出版社2020年百分导学历史八年级上册人教版答案
2020-11-18 15:25:03
广东经济出版社2020年百分导学历史八年级上册人教版答案小编已经收集整理好了,大家做完练习可以来答案圈核对一下广东经济出版社2020年百分导学历史八年级上册人教版答案本书
广东经济出版社2020年百分导学数学八年级上册BS北师版答案
2020-11-18 15:12:33
广东经济出版社2020年百分导学数学八年级上册BS北师版答案小编已经收集整理好了,大家做完练习可以来答案圈核对一下广东经济出版社2020年百分导学数学八年级上册BS北师版答案
广东经济出版社2020年百分导学生物学八年级全一册统编版答案
2020-11-18 14:57:34
广东经济出版社2020年百分导学生物学八年级全一册统编版答案小编已经收集整理好了,大家做完练习可以来答案圈核对一下广东经济出版社2020年百分导学生物学八年级全一册统编版