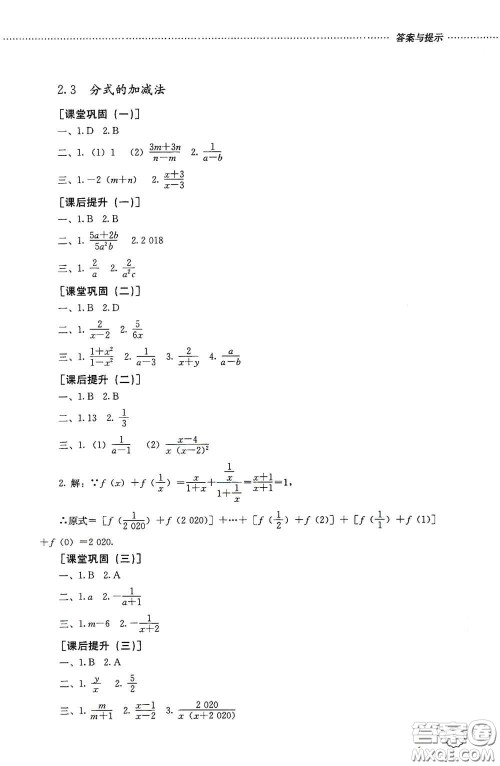
2020初中课堂同步训练八年级数学上册人教版的答案小编已经收集整理好饿,做完了之后可以来检查一下,看看自己做的对不对!

答案如下,仅供参考!
































山东文艺出版社2020初中课堂同步训练八年级语文上册人教版答案
2020-10-27 16:51:20
2020初中课堂同步训练八年级语文上册人教版的答案小编已经收集整理好了,做完了之后可以来检查一下,看看自己做的对不对,不要直接照抄答案哦,其他学科和其他年级的直接站内搜书名
山东文艺出版社2020初中课堂同步训练八年级英语上册人教版答案
2020-10-27 16:36:17
2020初中课堂同步训练八年级英语上册人教版的答案小编已经收集整理好了,做完了之后可以来检查一下,看看自己做的对不对,不要直接照抄答案哦,其他学科的和其他年级的直接站内搜书
山东文艺出版社2020初中课堂同步训练八年级物理上册人教版答案
2020-10-27 16:23:42
2020初中课堂同步训练八年级物理上册人教版的答案小编已经收集整理好了,做完了之后可以来检查一下,看看自己做的对不对,不要直接照抄答案哦,其他学科的和其他年级的直接站内搜书
山东文艺出版社2020初中课堂同步训练八年级生物学上册人教版答案
2020-10-27 15:55:48
2020初中课堂同步训练八年级生物学上册人教版的答案小编已经收集整理好了,做完了之后可以来检查一下,看看自己做的对不对吧!山东文艺出版社2020初中课堂同步训练八年级生物学上