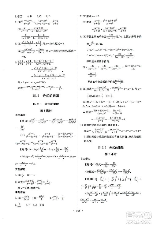
2020年长江全能学案同步练习册数学八年级上册人教版参考答案小编已经整理好了,需要核对答案的伙伴可以来看看

本书的其年级和他科目的答案小编也有整理,需要核对参考的伙伴直接在答案圈对应的年级搜索即可查看




































2020年长江全能学案同步练习册地理八年级上册人教版参考答案
2020-10-21 17:52:19
2020年长江全能学案同步练习册地理八年级上册人教版参考答案小编已经整理好了,需要核对答案的伙伴可以来看看2020年长江全能学案同步练习册地理八年级上册人教版参考答案本书
2020年长江全能学案同步练习册物理九年级全一册人教版参考答案
2020-10-21 17:40:20
2020年长江全能学案同步练习册物理九年级全一册人教版参考答案小编已经整理好了,需要核对答案的伙伴可以来看看2020年长江全能学案同步练习册物理九年级全一册人教版参考答案
2020年长江全能学案同步练习册生物学七年级上册人教版答案
2020-09-14 17:47:55
2020年长江全能学案同步练习册生物学七年级上册人教版答案小编已经收集整理好了,感兴趣的伙伴练习完来答案圈核对吧!2020年长江全能学案同步练习册生物学七年级上册人教版答案
2020年长江全能学案同步练习册数学九年级全一册人教版答案
2020-09-14 17:25:32
2020年长江全能学案同步练习册数学九年级全一册人教版答案小编已经收集整理好了,感兴趣的伙伴练习完来答案圈核对吧!2020年长江全能学案同步练习册数学九年级全一册人教版答案