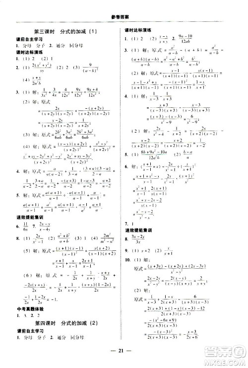
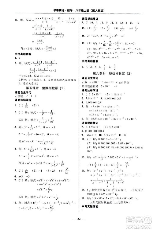
2020年南粤学典学考精练八年级数学上册人教版参考答案小编已经整理好了,需要核对答案的伙伴可以来看看

本书的其年级和他科目的答案小编也有整理,需要核对参考的伙伴直接在答案圈对应的年级搜索即可查看
























2020年南粤学典学考精练八年级英语上册人教版参考答案
2020-10-19 10:14:46
2020年南粤学典学考精练八年级英语上册人教版参考答案小编已经整理好了,需要核对答案的伙伴可以来看看2020年南粤学典学考精练八年级英语上册人教版参考答案本书的其年级和他
2020年南粤学典学考精练八年级物理上册人教版参考答案
2020-10-19 09:51:51
2020年南粤学典学考精练八年级物理上册人教版参考答案小编已经整理好了,需要核对答案的伙伴可以来看看2020年南粤学典学考精练八年级物理上册人教版参考答案本书的其年级和他
2020年南粤学典学考精练七年级英语上册外研版参考答案
2020-10-19 09:33:56
2020年南粤学典学考精练七年级英语上册外研版参考答案小编已经整理好了,需要核对答案的伙伴可以来看看2020年南粤学典学考精练七年级英语上册外研版参考答案本书的其年级和他
2020年南粤学典学考精练七年级数学上册人教版参考答案
2020-10-19 09:17:41
2020年南粤学典学考精练七年级数学上册人教版参考答案小编已经整理好了,需要核对答案的伙伴可以来看看2020年南粤学典学考精练七年级数学上册人教版参考答案本书的其年级和他