首页小学初中高中专题
当前位置:首页 > 初中答案网 > 八年级答案

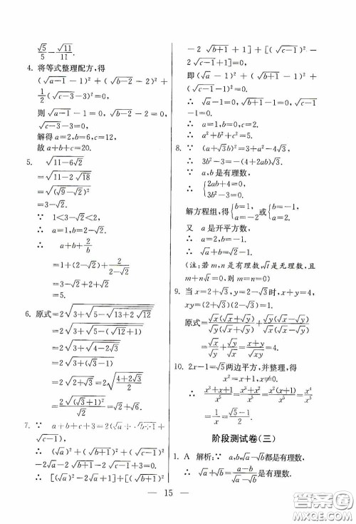
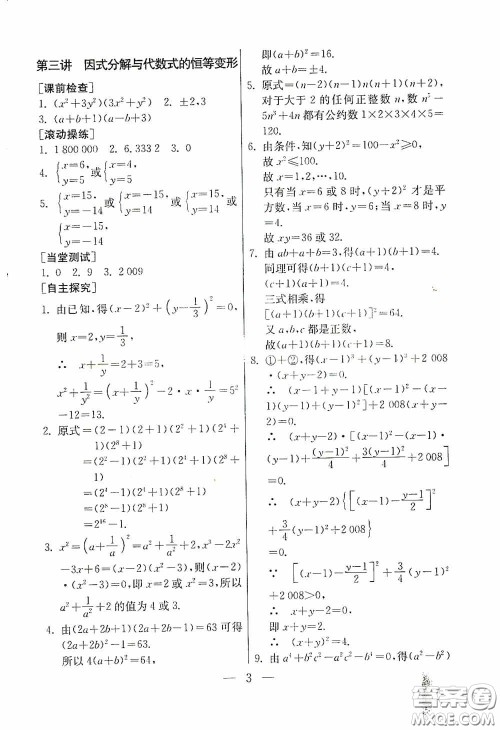
吉林教育出版社2020初中数学奥赛课本八年级答案

时间:2020-08-19 17:12:53    作者:答案圈
标签:
初中数学奥赛课本答案

2020初中数学奥赛课本八年级的答案小编已经收集整理好了,做完了之后可以来检查一下,看看自己做的对不对,这个系列的还有其他学科的哦,直接站内搜书名吧!PIH答案圈

吉林教育出版社2020初中数学奥赛课本八年级答案PIH答案圈

吉林教育出版社2020初中数学奥赛课本八年级答案

总主编严军,答案如下,仅供参考!PIH答案圈

吉林教育出版社2020初中数学奥赛课本八年级答案PIH答案圈

吉林教育出版社2020初中数学奥赛课本八年级答案PIH答案圈

吉林教育出版社2020初中数学奥赛课本八年级答案PIH答案圈

吉林教育出版社2020初中数学奥赛课本八年级答案PIH答案圈

吉林教育出版社2020初中数学奥赛课本八年级答案PIH答案圈

吉林教育出版社2020初中数学奥赛课本八年级答案PIH答案圈

吉林教育出版社2020初中数学奥赛课本八年级答案PIH答案圈

吉林教育出版社2020初中数学奥赛课本八年级答案PIH答案圈

吉林教育出版社2020初中数学奥赛课本八年级答案PIH答案圈

吉林教育出版社2020初中数学奥赛课本八年级答案PIH答案圈

吉林教育出版社2020初中数学奥赛课本八年级答案PIH答案圈

吉林教育出版社2020初中数学奥赛课本八年级答案PIH答案圈

吉林教育出版社2020初中数学奥赛课本八年级答案PIH答案圈

吉林教育出版社2020初中数学奥赛课本八年级答案PIH答案圈

吉林教育出版社2020初中数学奥赛课本八年级答案PIH答案圈

吉林教育出版社2020初中数学奥赛课本八年级答案PIH答案圈

吉林教育出版社2020初中数学奥赛课本八年级答案PIH答案圈

吉林教育出版社2020初中数学奥赛课本八年级答案PIH答案圈

吉林教育出版社2020初中数学奥赛课本八年级答案PIH答案圈

吉林教育出版社2020初中数学奥赛课本八年级答案PIH答案圈

吉林教育出版社2020初中数学奥赛课本八年级答案PIH答案圈

吉林教育出版社2020初中数学奥赛课本八年级答案PIH答案圈

吉林教育出版社2020初中数学奥赛课本八年级答案PIH答案圈

吉林教育出版社2020初中数学奥赛课本八年级答案PIH答案圈

吉林教育出版社2020初中数学奥赛课本八年级答案PIH答案圈

吉林教育出版社2020初中数学奥赛课本八年级答案PIH答案圈

吉林教育出版社2020初中数学奥赛课本八年级答案PIH答案圈

吉林教育出版社2020初中数学奥赛课本八年级答案PIH答案圈

吉林教育出版社2020初中数学奥赛课本八年级答案PIH答案圈

吉林教育出版社2020初中数学奥赛课本八年级答案PIH答案圈

吉林教育出版社2020初中数学奥赛课本八年级答案PIH答案圈

吉林教育出版社2020初中数学奥赛课本八年级答案PIH答案圈

吉林教育出版社2020初中数学奥赛课本八年级答案PIH答案圈

吉林教育出版社2020初中数学奥赛课本八年级答案PIH答案圈

吉林教育出版社2020初中数学奥赛课本八年级答案PIH答案圈

吉林教育出版社2020初中数学奥赛课本八年级答案PIH答案圈

吉林教育出版社2020初中数学奥赛课本八年级答案PIH答案圈

吉林教育出版社2020初中数学奥赛课本八年级答案PIH答案圈

吉林教育出版社2020初中数学奥赛课本八年级答案PIH答案圈

吉林教育出版社2020初中数学奥赛课本八年级答案PIH答案圈

吉林教育出版社2020初中数学奥赛课本八年级答案PIH答案圈

吉林教育出版社2020初中数学奥赛课本八年级答案PIH答案圈

吉林教育出版社2020初中数学奥赛课本八年级答案PIH答案圈

吉林教育出版社2020初中数学奥赛课本八年级答案PIH答案圈

吉林教育出版社2020初中数学奥赛课本八年级答案PIH答案圈

吉林教育出版社2020初中数学奥赛课本八年级答案PIH答案圈

吉林教育出版社2020初中数学奥赛课本八年级答案PIH答案圈

吉林教育出版社2020初中数学奥赛课本八年级答案PIH答案圈

吉林教育出版社2020初中数学奥赛课本八年级答案PIH答案圈

吉林教育出版社2020初中数学奥赛课本八年级答案PIH答案圈

吉林教育出版社2020初中数学奥赛课本八年级答案PIH答案圈

吉林教育出版社2020初中数学奥赛课本八年级答案PIH答案圈

吉林教育出版社2020初中数学奥赛课本八年级答案PIH答案圈

吉林教育出版社2020初中数学奥赛课本八年级答案PIH答案圈

吉林教育出版社2020初中数学奥赛课本八年级答案PIH答案圈

吉林教育出版社2020初中数学奥赛课本八年级答案PIH答案圈

查看更多答案
相关文章
吉林教育出版社2020初中数学奥赛课本七年级答案 2020-08-19 17:09:14

2020初中数学奥赛课本七年级的答案小编已经收集整理好了,做完了之后可以来检查一下,看看自己做的对不对,不要直接照抄答案哦,其他学科的和其他年级的直接站内搜书名吧!吉林教育出

专题推荐

2025年春顶尖课课练下册系列答案

2025黄冈小状元作业本下册答案

2025精彩练习就练这一本系列答案

2025金学典同步解析与测评学练考答案

2024年春一课一练创新练习下册系列答案

2024年高三联考试卷汇总

相关专题
吉林教育出版社练习册答案
课后作业答案
数学
语文
英语
历史
地理
政治
物理
化学
生物
其他
网友留言
最新更新
广西教育出版社2025年春自主学习能力测评八年级地理下册湘教版答案
2025自主学习能力测评答案 自主学习能力测评 自主学习能力测评答案 八年级地理答案 八年级地理下册答案
广西教育出版社2025年春自主学习能力测评八年级地理下册商务星球版答案
2025自主学习能力测评答案 自主学习能力测评 自主学习能力测评答案 八年级地理答案 八年级地理下册答案
广西教育出版社2025年春自主学习能力测评八年级地理下册人教版答案
2025自主学习能力测评答案 自主学习能力测评 自主学习能力测评答案 八年级地理答案 八年级地理下册答案
广西教育出版社2025年春自主学习能力测评八年级历史下册通用版答案
2025自主学习能力测评答案 自主学习能力测评 自主学习能力测评答案 八年级历史下册答案